Skul.pl
  • Opracowania zadań z podręczników
  • Matematyka. Klasa 8. Zeszyt ćwiczeń - rozwiązania i odpowiedzi
  • Zadanie 1.

Matematyka. Klasa 8. Zeszyt ćwiczeń - rozwiązania i odpowiedzi

Zeszyt ćwiczeń, Wydawnictwo: WSiP
Poprzednie

Zadanie 1. - strona 21

Następne

Zadanie

Oblicz wysokość trójkąta równobocznego o boku długości .

A.

B.

C.

D.

Rozwiązanie

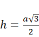
- wysokość trójkąta równobocznego.

Odpowiedź: A.

Skul

Wyjaśnienie

Wysokość trójkąta równobocznego wyraża się wzorem: , gdzie to bok trójkąta równobocznego, a to jego wysokość.

Poprzednie
Następne

Matematyka - wybrane pytania

Zadanie 4.8., strona 34, Prosto do matury. Matematyka. Klasa 2. Zakres podstawowy. Podręcznik - rozwiązania i odpowiedzi
Zadanie Projekt, strona 267, Matematyka. Klasa 4. Podręcznik – rozwiązania i odpowiedzi
Zadanie 1.26., strona 216, Prosto do matury. Matematyka. Klasa 2. Podręcznik. Zakres podstawowy i rozszerzony – rozwiązania i odpowiedzi
Ćwiczenie 1., strona 86, Matematyka wokół nas. Klasa 5. Podręcznik - rozwiązania i odpowiedzi
Zadanie 7, strona 221, MATeMAtyka 2. Zakres podstawowy. Podręcznik - rozwiązania i odpowiedzi
Zadanie 6, strona 207, Matematyka. Klasa 1. Podręcznik. Zakres rozszerzony. Część 1 – rozwiązania i odpowiedzi
Ćwiczenie 1, strona 119, Matematyka. Klasa 5. Podręcznik. Część 1 - rozwiązania i odpowiedzi
Zadanie 10., strona 60, Matematyka. Klasa 2. Podręcznik. Zakres podstawowy - rozwiązania i odpowiedzi
Pytanie 8, strona 91, Matematyka z plusem 1. Zbiór zadań dla liceum i technikum. Zakres podstawowy i rozszerzony
Ćwiczenie 1, strona 159, Matematyka z kluczem. Klasa 6. Podręcznik. Część 1 – rozwiązania i odpowiedzi
REKLAMA
Skul
Zadania z tego działu
2. Twierdzenie Pitagorasa
15
2.1 Twierdzenie Pitagorasa
15

Zadanie 1.

15

Zadanie 2.

15

Zadanie 3.

15

Zadanie 4.

16

Podpunkt a)

16

Podpunkt b)

16

Podpunkt c)

16

Zadanie 5.

16

Zadanie 6.

17

Zadanie 7.

17

Podpunkt a)

17

Podpunkt b)

17

Podpunkt c)

17

Zadanie 8.

17
2.2 Przekątna kwadratu
18

Zadanie 1.

18

Zadanie 2.

18

Zadanie 3.

18

Zadanie 4.

18

Zadanie 5.

19

Zadanie 6.

19

Zadanie 7.

19

Zadanie 8

20

Zadanie 9.

20

Zadanie 10.

20
2.3 Wysokość trójkąta równobocznego
21

Zadanie 1.

21

Zadanie 2.

21

Zadanie 3.

21

Zadanie 4.

21

Zadanie 5.

22

Zadanie 6.

22

Zadanie 7.

22

Zadanie 8.

23

Zadanie 9.

23

Zadanie 10.

23
2.4 Zastosowanie twierdzenia Pitagorasa
24

Zadanie 1.

24

Zadanie 2.

24

Zadanie 3.

24

Zadanie 4.

25

Podpunkt a)

25

Podpunkt b)

25

Zadanie 5.

25

Zadanie 6.

25

Zadanie 7.

26

Zadanie 8.

26
Pełny spis treści
Skul
Artboard 1
Skul.pl
  • Napisz do nas
  • FAQ
  • Mapa Serwisu
  • Google Play
  • App Store

Korzystanie z portalu oznacza akceptację Regulaminu.
Polityka prywatności. Ustawienia preferencji. Copyright: INTERIA.PL 1999-2023 Wszystkie prawa zastrzeżone.