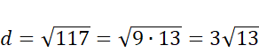
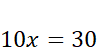
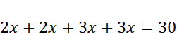
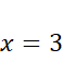
Najpierw oblicz długości boków prostokąta, a następnie korzystając z twierdzenia Pitagorasa oblicz długość przekątnej tego prostokąta.
Twierdzenie Pitagorasa - długość jednej przyprostokątnej podniesiona do kwadratu + długość drugiej przyprostokątnej podniesiona do kwadratu jest równa kwadratowi przeciwprostokątnej.