Oblicz łączną długość ścieżek wydzielonych na skwerze w sposób przedstawiony na rysunku.
Rozwiązanie
Wyjaśnienie
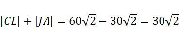
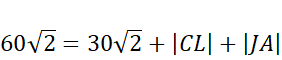
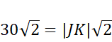
Odcinek BD jest Przekątna kwadratu ABCD, wiedząc, że długość przekątnej kwadratu o boku jest równa , oblicz długość tego odcinka. Następnie zauważ, że odcinek EG jest tej samej długości co odcinek CB.Odcinek EG Jest przekątną kwadratu EFGH, a więc znając jej długość, możesz obliczyć długość boku tego kwadratu. W kolejnym kroku zauważ, że długość odcinka JL jest równa długości odcinka GH, a odcinek JL jest przekątną kwadratu IJKL, a więc możesz obliczyć długość boku tego kwadratu. W ostatnim kroku Oblicz sumę długości odcinków CL i AJ odejmując od odcinka AC odcinek JL. Zauważ, że suma tych odcinków jest równa sumie odcinków DI i KB ostatecznie zsumuj wszystkie otrzymane długości.