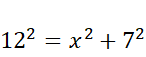
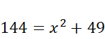
Wiedząc, że wysokość trójkąta równoramiennego opadająca na podstawę dzieli ją na dwie równe części, oblicz jej długość Korzystając z twierdzenia Pitagorasa. Następnie oblicz pole trójkąta, które jest równa połowie iloczynu wysokości i prostopadłej do niej podstawy.