Skul.pl
  • Opracowania zadań z podręczników
  • Matematyka. Klasa 8. Zeszyt ćwiczeń - rozwiązania i odpowiedzi
  • Zadanie 3.

Matematyka. Klasa 8. Zeszyt ćwiczeń - rozwiązania i odpowiedzi

Zeszyt ćwiczeń, Wydawnictwo: WSiP
Poprzednie

Zadanie 3. - strona 21

Następne

Zadanie

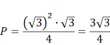
Oblicz pole trójkąta równobocznego o boku

A.

B.

C.

D.

Rozwiązanie

Odpowiedź: D.

Skul

Wyjaśnienie

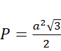
Pole trójkąta równobocznego wyraża się wzorem: : , gdzie to bok trójkąta równobocznego.

Poprzednie
Następne

Matematyka - wybrane pytania

Pytanie 2, strona 198, Matematyka z kluczem. Klasa 8. Podręcznik - rozwiązania i odpowiedzi
Ćwiczenie 13., strona 54, Matematyka i przykłady jej zastosowań. Klasa 1. Podręcznik. Zakres podstawowy – rozwiązania i odpowiedzi
Ćwiczenie 6., strona 37, Matematyka z plusem. Klasa 8. Zeszyt ćwiczeń – rozwiązania i odpowiedzi
Zadanie 2., strona 76, Matematyka. Klasa 8. Zbiór zadań - rozwiązania i odpowiedzi
Zadanie 22, strona 161, Matematyka z plusem. Klasa 2. Podręcznik. Zakres podstawowy - rozwiązania i odpowiedzi
Zadanie 4., strona 109, Matematyka. Klasa 6. Zeszyt ćwiczeń. Część 1 - rozwiązania i odpowiedzi
Zadanie 14., strona 77, Matematyka. Klasa 3. Podręcznik. Zakres podstawowy - rozwiązania i odpowiedzi
Zadanie 1., strona 232, Matematyka. Klasa 8. Podręcznik – rozwiązania i odpowiedzi
Ćwiczenie 5., strona 74, Matematyka wokół nas. Klasa 5. Podręcznik - rozwiązania i odpowiedzi
Zadanie 3, strona 107, NOWA MATeMAtyka. Klasa 1. Zakres podstawowy - rozwiązania i odpowiedzi
REKLAMA
Skul
Zadania z tego działu
2. Twierdzenie Pitagorasa
15
2.1 Twierdzenie Pitagorasa
15

Zadanie 1.

15

Zadanie 2.

15

Zadanie 3.

15

Zadanie 4.

16

Podpunkt a)

16

Podpunkt b)

16

Podpunkt c)

16

Zadanie 5.

16

Zadanie 6.

17

Zadanie 7.

17

Podpunkt a)

17

Podpunkt b)

17

Podpunkt c)

17

Zadanie 8.

17
2.2 Przekątna kwadratu
18

Zadanie 1.

18

Zadanie 2.

18

Zadanie 3.

18

Zadanie 4.

18

Zadanie 5.

19

Zadanie 6.

19

Zadanie 7.

19

Zadanie 8

20

Zadanie 9.

20

Zadanie 10.

20
2.3 Wysokość trójkąta równobocznego
21

Zadanie 1.

21

Zadanie 2.

21

Zadanie 3.

21

Zadanie 4.

21

Zadanie 5.

22

Zadanie 6.

22

Zadanie 7.

22

Zadanie 8.

23

Zadanie 9.

23

Zadanie 10.

23
2.4 Zastosowanie twierdzenia Pitagorasa
24

Zadanie 1.

24

Zadanie 2.

24

Zadanie 3.

24

Zadanie 4.

25

Podpunkt a)

25

Podpunkt b)

25

Zadanie 5.

25

Zadanie 6.

25

Zadanie 7.

26

Zadanie 8.

26
Pełny spis treści
Skul
Artboard 1
Skul.pl
  • Napisz do nas
  • FAQ
  • Mapa Serwisu
  • Google Play
  • App Store

Korzystanie z portalu oznacza akceptację Regulaminu.
Polityka prywatności. Ustawienia preferencji. Copyright: INTERIA.PL 1999-2023 Wszystkie prawa zastrzeżone.