Uzupełnij zdania, wybierając właściwą odpowiedź.
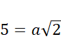
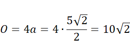
Obwód kwadratu o przekątnej długości 5 jest równy A/B.
A.
B.
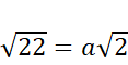
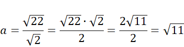
Bok kwadratu o przekątnej długości ma długość C/D.
C.
D.
Odpowiedź: Obwód kwadratu o przekątnej długości 5 jest równy A.
Odpowiedź: Bok kwadratu o przekątnej długości ma długość C.
Długość przekątnej kwadratu o boku jest równa , a obwód to suma długości wszystkich boków.
Zadanie 1.
Zadanie 2.
Zadanie 3.
Zadanie 4.
Podpunkt a)
Podpunkt b)
Podpunkt c)
Zadanie 5.
Zadanie 6.
Zadanie 7.
Zadanie 8.
Zadanie 8
Zadanie 9.
Zadanie 10.