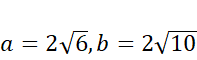
A.
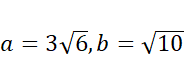
B.
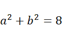
C.
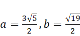
D.
Odpowiedź: A,D -
Przekątne rombu przecinają się pod kątem prostym i dzielą się na pół. Po podzieleniu rombu przekątnymi otrzymasz cztery przystające trójkąty prostokątne. Na mocy twierdzenia Pitagorasa suma kwadratów przyprostokątnych tych trójkątów musi być równa kwadratowi przeciwprostokątnej. Sprawdź wszystkie odpowiedzi i wybierz te, które spełniają twierdzenie Pitagorasa.
Twierdzenie Pitagorasa - długość jednej przyprostokątnej podniesiona do kwadratu + długość drugiej przyprostokątnej podniesiona do kwadratu jest równa kwadratowi przeciwprostokątnej.