Obwód prostokąta, którego przekątna ma długość
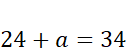
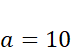
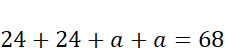
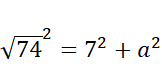
Jeśli obwód prostokąta jest równy 68, a jeden z jego boków ma długość 24, to przekątna tego prostokąta ma długość C.26
Skorzystaj z twierdzenia Pitagorasa do wyliczenia brakujących boków.
Twierdzenie Pitagorasa - długość jednej przyprostokątnej podniesiona do kwadratu + długość drugiej przyprostokątnej podniesiona do kwadratu jest równa kwadratowi przeciwprostokątnej.