Trójkąt I
Trójkąt II
| Przyprostokątna a | Przyprostokątnab | Przeciwprostokątnac | Pole P | Obwód O | |
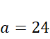
| Trójkąt I | 24 | 7 | 25 | 84 | 56 |
| Trójkąt II | 24 | 10 | 26 | 120 | 60 |
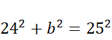
Trójkąt I - Najpierw oblicz długość przyprostokątnej z twierdzenia Pitagorasa, a następnie wiedząc, że pole powierzchni trójkąta prostokątnego to połowa iloczynu jego przyprostokątnych oblicz pole, obwodu to suma długości wszystkich boków.
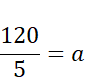
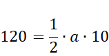
Trójkąt II - Najpierw oblicz długość przyprostokątnej korzystając ze wzoru na pole powierzchni trójkąta prostokątnego, a następnie z twierdzenia Pitagorasa oblicz długość przeciwprostokątnej. Obwód to suma długości wszystkich boków.
Twierdzenie Pitagorasa - długość jednej przyprostokątnej podniesiona do kwadratu + długość drugiej przyprostokątnej podniesiona do kwadratu jest równa kwadratowi przeciwprostokątnej.