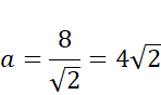
Na początku zauważ, że dany trapez prostokątny można podzielić na trójkąt prostokątny i prostokąt. Trójkąt prostokątny jest trójkątem równoramiennym i jednocześnie połową kwadratu. Długość boku „a” oblicz korzystając ze wzoru na długość przekątnej w kwadracie (Długość przekątnej kwadratu o boku