Skul.pl
  • Opracowania zadań z podręczników
  • Matematyka. Klasa 8. Zeszyt ćwiczeń - rozwiązania i odpowiedzi
  • Zadanie 6.

Matematyka. Klasa 8. Zeszyt ćwiczeń - rozwiązania i odpowiedzi

Zeszyt ćwiczeń, Wydawnictwo: WSiP
Poprzednie

Zadanie 6. - strona 25

Następne

Zadanie

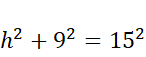
Oblicz pole trapezu równoramiennego, którego podstawy mają długości 25 cm i 7 cm, a ramie ma długość 15 cm.

Rozwiązanie

Skul

Wyjaśnienie

W trapezie równoramiennym odcinki AB i CD mają taką samą długość. Wysokość h trapezu możesz obliczyć, korzystając z twierdzenia Pitagorasa. Następnie oblicz pole trapezu, które jest połową iloczynu wysokości i sumy jego podstaw.

Poprzednie
Następne

Matematyka - wybrane pytania

Zadanie 9, strona 110, Matematyka wokół nas. Klasa 4. Zbiór zadań - rozwiązania i odpowiedzi
Zadanie 8.135., strona 212, Matematyka. Klasa 3. Zbiór zadań. Zakres rozszerzony – rozwiązania i odpowiedzi
Zadanie 20, strona 131, Matematyka z kluczem. Klasa 4. Zbiór zadań – rozwiązania i odpowiedzi
Zadanie 6, strona 60, Matematyka. Klasa 6. Podręcznik. Część 2 - rozwiązania i odpowiedzi
Zadanie 31., strona 279, MATeMAtyka 1. Zakres podstawowy i rozszerzony. Zbiór zadań – rozwiązania i odpowiedzi
Zadanie 23., strona 44, Matematyka. Klasa 7. Podręcznik – rozwiązania i odpowiedzi
Zadanie 2., strona 126, Matematyka. Klasa 8. Zbiór zadań - rozwiązania i odpowiedzi
Ćwiczenie 7, strona 98, Matematyka z kluczem. Klasa 5. Zeszyt ćwiczeń - rozwiązania i odpowiedzi
Zadanie 18., strona 131, Matematyka z kluczem. Klasa 8. Zbiór zadań – rozwiązania i odpowiedzi
Zadanie 3, strona 28, Matematyka. Klasa 6. Podręcznik - rozwiązania i odpowiedzi
REKLAMA
Skul
Zadania z tego działu
2. Twierdzenie Pitagorasa
15
2.1 Twierdzenie Pitagorasa
15

Zadanie 1.

15

Zadanie 2.

15

Zadanie 3.

15

Zadanie 4.

16

Podpunkt a)

16

Podpunkt b)

16

Podpunkt c)

16

Zadanie 5.

16

Zadanie 6.

17

Zadanie 7.

17

Podpunkt a)

17

Podpunkt b)

17

Podpunkt c)

17

Zadanie 8.

17
2.2 Przekątna kwadratu
18

Zadanie 1.

18

Zadanie 2.

18

Zadanie 3.

18

Zadanie 4.

18

Zadanie 5.

19

Zadanie 6.

19

Zadanie 7.

19

Zadanie 8

20

Zadanie 9.

20

Zadanie 10.

20
2.3 Wysokość trójkąta równobocznego
21

Zadanie 1.

21

Zadanie 2.

21

Zadanie 3.

21

Zadanie 4.

21

Zadanie 5.

22

Zadanie 6.

22

Zadanie 7.

22

Zadanie 8.

23

Zadanie 9.

23

Zadanie 10.

23
2.4 Zastosowanie twierdzenia Pitagorasa
24

Zadanie 1.

24

Zadanie 2.

24

Zadanie 3.

24

Zadanie 4.

25

Podpunkt a)

25

Podpunkt b)

25

Zadanie 5.

25

Zadanie 6.

25

Zadanie 7.

26

Zadanie 8.

26
Pełny spis treści
Skul
Artboard 1
Skul.pl
  • Napisz do nas
  • FAQ
  • Mapa Serwisu
  • Google Play
  • App Store

Korzystanie z portalu oznacza akceptację Regulaminu.
Polityka prywatności. Ustawienia preferencji. Copyright: INTERIA.PL 1999-2023 Wszystkie prawa zastrzeżone.