Skul.pl
  • Opracowania zadań z podręczników
  • Matematyka. Klasa 8. Zeszyt ćwiczeń - rozwiązania i odpowiedzi
  • Zadanie 3.

Matematyka. Klasa 8. Zeszyt ćwiczeń - rozwiązania i odpowiedzi

Zeszyt ćwiczeń, Wydawnictwo: WSiP
Poprzednie

Zadanie 3. - strona 18

Następne

Zadanie

Ile wynosi pole kwadratu o przekątnej długości ?

A.5

B.10

C.20

D.50

Rozwiązanie

Odpowiedź: A. 5

Skul

Wyjaśnienie

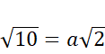
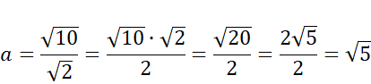
Długość przekątnej kwadratu o boku jest równa , a pole kwadratu jest równe .

Poprzednie
Następne

Matematyka - wybrane pytania

Zadanie 5., strona 244, Matematyka. Klasa 3. Zakres rozszerzony. Podręcznik - rozwiązania i odpowiedzi
Zadanie Co było na lekcji 2., strona 107, Matematyka. Klasa 6. Zeszyt ćwiczeń. Część 2 - rozwiązania i odpowiedzi
Zadanie 4.29., strona 132, Matematyka. Klasa 1. Zbiór zadań. Zakres rozszerzony – rozwiązania i odpowiedzi
Ćwiczenie 8., strona 25, Matematyka z plusem. Klasa 6. Zeszyt ćwiczeń. Wersja A. Część 2 - rozwiązania i odpowiedzi
Zadanie 4, strona 203, MATeMAtyka. Klasa 3. Zbiór zadań. Zakres podstawowy i rozszerzony – rozwiązania i odpowiedzi
Zadanie 5, strona 280, MATeMAtyka. Klasa 3. Zbiór zadań. Zakres podstawowy i rozszerzony – rozwiązania i odpowiedzi
Ćwiczenie 7., strona 57, Matematyka z plusem. Klasa 5. Zeszyt ćwiczeń. Wersja B. Część 1/2 - rozwiązania i odpowiedzi
Zadanie 11, strona 4, Matura z matematyki. Arkusz dodatkowy. Poziom podstawowy. Czerwiec 2018
Zadanie 1., strona 127, Matematyka. Klasa 4. Podręcznik. Część 1 - rozwiązania i odpowiedzi
Zadanie 9.12., strona 172, Matematyka. Prosto do matury. Klasa 1. Zakres podstawowy i rozszerzony. Podręcznik - rozwiązania i odpowiedzi
REKLAMA
Skul
Zadania z tego działu
2. Twierdzenie Pitagorasa
15
2.1 Twierdzenie Pitagorasa
15

Zadanie 1.

15

Zadanie 2.

15

Zadanie 3.

15

Zadanie 4.

16

Podpunkt a)

16

Podpunkt b)

16

Podpunkt c)

16

Zadanie 5.

16

Zadanie 6.

17

Zadanie 7.

17

Podpunkt a)

17

Podpunkt b)

17

Podpunkt c)

17

Zadanie 8.

17
2.2 Przekątna kwadratu
18

Zadanie 1.

18

Zadanie 2.

18

Zadanie 3.

18

Zadanie 4.

18

Zadanie 5.

19

Zadanie 6.

19

Zadanie 7.

19

Zadanie 8

20

Zadanie 9.

20

Zadanie 10.

20
2.3 Wysokość trójkąta równobocznego
21

Zadanie 1.

21

Zadanie 2.

21

Zadanie 3.

21

Zadanie 4.

21

Zadanie 5.

22

Zadanie 6.

22

Zadanie 7.

22

Zadanie 8.

23

Zadanie 9.

23

Zadanie 10.

23
2.4 Zastosowanie twierdzenia Pitagorasa
24

Zadanie 1.

24

Zadanie 2.

24

Zadanie 3.

24

Zadanie 4.

25

Podpunkt a)

25

Podpunkt b)

25

Zadanie 5.

25

Zadanie 6.

25

Zadanie 7.

26

Zadanie 8.

26
Pełny spis treści
Skul
Artboard 1
Skul.pl
  • Napisz do nas
  • FAQ
  • Mapa Serwisu
  • Google Play
  • App Store

Korzystanie z portalu oznacza akceptację Regulaminu.
Polityka prywatności. Ustawienia preferencji. Copyright: INTERIA.PL 1999-2023 Wszystkie prawa zastrzeżone.