Długość przeciwprostokątnej AB jest równa 13.
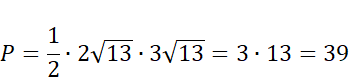
Ponieważ pole trójkąta ABC wynosi 39
to wysokość CD jest równa 6.
Najpierw oblicz y długość przeciwprostokątnej AB z twierdzenia Pitagorasa. Następnie wylicz pole trójkąta ABC korzystając z tego, że jest ono równe połowie iloczynu jego przyprostokątnych. Wiedząc, że pole trójkąta jest równe także połowie iloczynu wysokości i prostopadłego do niej boku, oblicz długość odcinka CD.
Twierdzenie Pitagorasa - długość jednej przyprostokątnej podniesiona do kwadratu + długość drugiej przyprostokątnej podniesiona do kwadratu jest równa kwadratowi przeciwprostokątnej.