Skul.pl
  • Opracowania zadań z podręczników
  • Matematyka. Klasa 8. Zeszyt ćwiczeń - rozwiązania i odpowiedzi
  • Zadanie 2.

Matematyka. Klasa 8. Zeszyt ćwiczeń - rozwiązania i odpowiedzi

Zeszyt ćwiczeń, Wydawnictwo: WSiP
Poprzednie

Zadanie 2. - strona 18

Następne

Zadanie

Oblicz obwód kwadratu o przekątnej długości 6.

A.

B.12

C.24

D.

Rozwiązanie

Odpowiedź: A.

Skul

Wyjaśnienie

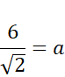
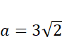
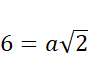
Długość przekątnej kwadratu o boku jest równa .

Poprzednie
Następne

Matematyka - wybrane pytania

Ćwiczenie 3., strona 188, Matematyka. Klasa 3. Zakres rozszerzony. Podręcznik - rozwiązania i odpowiedzi
Zadanie 3., strona 134, Prosto do matury. Matematyka. Klasa 2. Zakres podstawowy. Podręcznik - rozwiązania i odpowiedzi
Zadanie Prosto do matury 5., strona 44, Prosto do matury. Klasa 4. Podręcznik. Zakres podstawowy - rozwiązania i odpowiedzi
Zadanie 3.94, strona 96, Matematyka. Klasa 1. Zakres podstawowy. Zbiór zadań - rozwiązania i odpowiedzi
Zadanie 6., strona 236, Matematyka. Klasa 4. Podręcznik. Zakres rozszerzony – rozwiązania i odpowiedzi
Zadanie 8., strona 384, Matematyka. Klasa 1. Podręcznik. Zakres rozszerzony – rozwiązania i odpowiedzi
Zadanie 41, strona 128, Matematyka. Klasa 2. Zbiór zadań. Zakres rozszerzony – rozwiązania i odpowiedzi
Zadanie 63., strona 54, Matematyka z plusem. Klasa 4. Zbiór zadań - rozwiązania i odpowiedzi
Zadanie 6, strona 32, Matematyka wokół nas. Klasa 7. Zeszyt ćwiczeń – rozwiązania i odpowiedzi
Zadanie 1., strona 149, Matematyka. Klasa 4. Podręcznik. Zakres rozszerzony – rozwiązania i odpowiedzi
REKLAMA
Skul
Zadania z tego działu
2. Twierdzenie Pitagorasa
15
2.1 Twierdzenie Pitagorasa
15

Zadanie 1.

15

Zadanie 2.

15

Zadanie 3.

15

Zadanie 4.

16

Podpunkt a)

16

Podpunkt b)

16

Podpunkt c)

16

Zadanie 5.

16

Zadanie 6.

17

Zadanie 7.

17

Podpunkt a)

17

Podpunkt b)

17

Podpunkt c)

17

Zadanie 8.

17
2.2 Przekątna kwadratu
18

Zadanie 1.

18

Zadanie 2.

18

Zadanie 3.

18

Zadanie 4.

18

Zadanie 5.

19

Zadanie 6.

19

Zadanie 7.

19

Zadanie 8

20

Zadanie 9.

20

Zadanie 10.

20
2.3 Wysokość trójkąta równobocznego
21

Zadanie 1.

21

Zadanie 2.

21

Zadanie 3.

21

Zadanie 4.

21

Zadanie 5.

22

Zadanie 6.

22

Zadanie 7.

22

Zadanie 8.

23

Zadanie 9.

23

Zadanie 10.

23
2.4 Zastosowanie twierdzenia Pitagorasa
24

Zadanie 1.

24

Zadanie 2.

24

Zadanie 3.

24

Zadanie 4.

25

Podpunkt a)

25

Podpunkt b)

25

Zadanie 5.

25

Zadanie 6.

25

Zadanie 7.

26

Zadanie 8.

26
Pełny spis treści
Skul
Artboard 1
Skul.pl
  • Napisz do nas
  • FAQ
  • Mapa Serwisu
  • Google Play
  • App Store

Korzystanie z portalu oznacza akceptację Regulaminu.
Polityka prywatności. Ustawienia preferencji. Copyright: INTERIA.PL 1999-2023 Wszystkie prawa zastrzeżone.