a – długość drugiej przyprostokątnej
Odpowiedź: A.
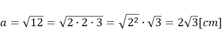
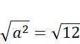
W tym zadaniu do obliczenia długości przyprostokątnej musisz użyć twierdzenia Pitagorasa. Mówi ono, że długość jednej przyprostokątnej podniesiona do kwadratu + długość drugiej przyprostokątnej podniesiona do kwadratu jest równa kwadratowi przeciwprostokątnej. Po skorzystaniu z twierdzenia Pitagorasa wystarczy, że oblicz pierwiastek drugiego stopnia z otrzymanego wyniku.