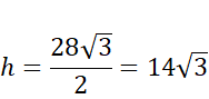
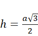
Podziel dany trapez na kwadrat i trójkąt prostokątny. Najpierw zauważ, że dany trójkąt jest połową trójkąta równobocznego. Korzystając z tego, że pole trójkąta równobocznego jest równe oraz ,gdzie to bok trójkąta równobocznego, a to jego wysokość oblicz wszystkie potrzebne wartości. Następnie dodaj do siebie pole kwadratu i pole połowy trójkąta równobocznego.