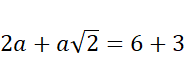
Oblicz pole trójkąta prostokątnego równoramiennego, którego obwód wynosi .
Rozwiązanie
Wyjaśnienie
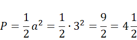
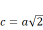
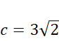
Zauważ, że trójkąt ten jest połową kwadratu, a więc długość jego przeciwprostokątnej możesz wyrazić za pomocą długości przyprostokątnej. W tym celu skorzystaj ze wzoru na długość przekątnej kwadratu (Długość przekątnej kwadratu o boku jest równa ). Następnie wylicz długość przyprostokątnej i oblicz pole trójkąta wiedząc, że jest ono równe połowie iloczynu jego przyprostokątnych.