Dokończ zdania, wybierając poprawną odpowiedź.
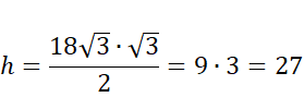
Wysokość trójkąta równobocznego o obwodzie wynosi A/B.
A.
B. 27
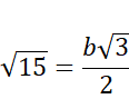
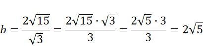
Bok trójkąta równobocznego o wysokości ma długość C/D.
C.
D.
– bok trójkąta równobocznego 1.
- wysokość trójkąta równobocznego 1.
Odpowiedź: Wysokość trójkąta równobocznego o obwodzie wynosi B – 27.
– bok trójkąta równobocznego 2.
- wysokość trójkąta równobocznego 2.
Odpowiedź: Bok trójkąta równobocznego o wysokości ma długość C -
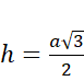
Wysokość trójkąta równobocznego wyraża się wzorem: , gdzie to bok trójkąta równobocznego, a to jego wysokość.
Zadanie 1.
Zadanie 2.
Zadanie 3.
Zadanie 4.
Podpunkt a)
Podpunkt b)
Podpunkt c)
Zadanie 5.
Zadanie 6.
Zadanie 7.
Zadanie 8.
Zadanie 8
Zadanie 9.
Zadanie 10.