Skul.pl
  • Opracowania zadań z podręczników
  • Matematyka. Klasa 8. Zeszyt ćwiczeń - rozwiązania i odpowiedzi
  • Zadanie 2.

Matematyka. Klasa 8. Zeszyt ćwiczeń - rozwiązania i odpowiedzi

Zeszyt ćwiczeń, Wydawnictwo: WSiP
Poprzednie

Zadanie 2. - strona 21

Następne

Zadanie

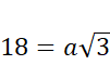
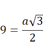
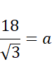
Oblicz obwód trójkąta równobocznego o wysokości 9.

A.

B.

C.

D.

Rozwiązanie

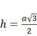
– bok trójkąta równobocznego.

Odpowiedź: D.

Skul

Wyjaśnienie

Wysokość trójkąta równobocznego wyraża się wzorem: , gdzie to bok trójkąta równobocznego, a to jego wysokość. Oblicz z podanego wzoru, a następnie oblicz obwód trójkąta mnożąc otrzymaną długość przez 3.

Poprzednie
Następne

Matematyka - wybrane pytania

Zadanie 1., strona 105, To się liczy! Klasa 1. Podręcznik – rozwiązania i odpowiedzi
Zadanie 6., strona 12, Matematyka z plusem. Klasa 6. Zeszyt ćwiczeń - rozwiązania i odpowiedzi
Zadanie 8 zamknięte, strona 100, Matematyka wokół nas. Klasa 6. Zbiór zadań - rozwiązania i odpowiedzi
Ćwiczenie 8., strona 168, Matematyka. Klasa 1. Podręcznik. Zakres rozszerzony. Część 2 – rozwiązania i odpowiedzi
Zadanie 20., strona 98, Matematyka. Klasa 7. Zbiór zadań – rozwiązania i odpowiedzi
Zadanie 18, strona 240, NOWA MATeMAtyka 1. Podręcznik. Zakres podstawowy
Zadanie 74, strona 59, Matematyka. Klasa 2. Zbiór zadań. Zakres rozszerzony – rozwiązania i odpowiedzi
Zadanie 25., strona 212, Matematyka. Klasa 7. Podręcznik – rozwiązania i odpowiedzi
Zadanie 1., strona 160, Matematyka z plusem. Klasa 5. Podręcznik - rozwiązania i odpowiedzi
Zadanie 3.38., strona 68, Matematyka i przykłady jej zastosowań. Klasa 1. Podręcznik. Zakres podstawowy – rozwiązania i odpowiedzi
REKLAMA
Skul
Zadania z tego działu
2. Twierdzenie Pitagorasa
15
2.1 Twierdzenie Pitagorasa
15

Zadanie 1.

15

Zadanie 2.

15

Zadanie 3.

15

Zadanie 4.

16

Podpunkt a)

16

Podpunkt b)

16

Podpunkt c)

16

Zadanie 5.

16

Zadanie 6.

17

Zadanie 7.

17

Podpunkt a)

17

Podpunkt b)

17

Podpunkt c)

17

Zadanie 8.

17
2.2 Przekątna kwadratu
18

Zadanie 1.

18

Zadanie 2.

18

Zadanie 3.

18

Zadanie 4.

18

Zadanie 5.

19

Zadanie 6.

19

Zadanie 7.

19

Zadanie 8

20

Zadanie 9.

20

Zadanie 10.

20
2.3 Wysokość trójkąta równobocznego
21

Zadanie 1.

21

Zadanie 2.

21

Zadanie 3.

21

Zadanie 4.

21

Zadanie 5.

22

Zadanie 6.

22

Zadanie 7.

22

Zadanie 8.

23

Zadanie 9.

23

Zadanie 10.

23
2.4 Zastosowanie twierdzenia Pitagorasa
24

Zadanie 1.

24

Zadanie 2.

24

Zadanie 3.

24

Zadanie 4.

25

Podpunkt a)

25

Podpunkt b)

25

Zadanie 5.

25

Zadanie 6.

25

Zadanie 7.

26

Zadanie 8.

26
Pełny spis treści
Skul
Artboard 1
Skul.pl
  • Napisz do nas
  • FAQ
  • Mapa Serwisu
  • Google Play
  • App Store

Korzystanie z portalu oznacza akceptację Regulaminu.
Polityka prywatności. Ustawienia preferencji. Copyright: INTERIA.PL 1999-2023 Wszystkie prawa zastrzeżone.