Skul.pl
  • Opracowania zadań z podręczników
  • Matematyka. Klasa 8. Zeszyt ćwiczeń - rozwiązania i odpowiedzi
  • Zadanie 6.

Matematyka. Klasa 8. Zeszyt ćwiczeń - rozwiązania i odpowiedzi

Zeszyt ćwiczeń, Wydawnictwo: WSiP
Poprzednie

Zadanie 6. - strona 19

Następne

Zadanie

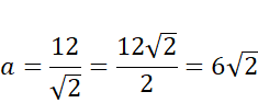
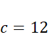
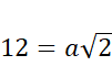
Oblicz pole trójkąta prostokątnego równoramiennego, którego przeciwprostokątna ma długość 12.

Rozwiązanie

zoom

Skul

Wyjaśnienie

Najpierw zauważ, że ten trójkąt jest połową kwadratu, a przeciwprostokątna trójkąta jest jego przekątną. Następnie wiedząc, że długość przekątnej kwadratu o boku jest równa oblicz długość ramienia trójkąta i pole, które jest równe połowie iloczynu przyprostokątnych trójkąta.

Poprzednie
Następne

Matematyka - wybrane pytania

Zadanie 4, strona 142, Matematyka. Klasa 6. Podręcznik - rozwiązania i odpowiedzi
Zadanie 195., strona 66, Matematyka z plusem. Klasa 3. Zbiór zadań. Zakres rozszerzony – rozwiązania i odpowiedzi
Zadanie 7., strona 88, Matematyka. Klasa 3. Zbiór zadań. Zakres podstawowy - rozwiązania i odpowiedzi
Zadanie sprawdzające 2, strona 82, Matematyka. Klasa 5. Podręcznik – rozwiązania i odpowiedzi
Zadanie 2.147., strona 59, Matematyka. Klasa 3. Zbiór zadań. Zakres rozszerzony – rozwiązania i odpowiedzi
Zadanie 2, strona 170, Matematyka. Klasa 6. Podręcznik - rozwiązania i odpowiedzi
Ćwiczenie 2., strona 109, Matematyka. Klasa 7. Podręcznik – rozwiązania i odpowiedzi
Ćwiczenie 4., strona 205, Matematyka z plusem. Klasa 6. Podręcznik - rozwiązania i odpowiedzi
Zadanie 9., strona 29, Matematyka. Klasa 6. Zeszyt ćwiczeń. Część 2 - rozwiązania i odpowiedzi
Zadanie 8, strona 84, NOWA MATeMAtyka 1. Podręcznik. Zakres podstawowy i rozszerzony
REKLAMA
Skul
Zadania z tego działu
2. Twierdzenie Pitagorasa
15
2.1 Twierdzenie Pitagorasa
15

Zadanie 1.

15

Zadanie 2.

15

Zadanie 3.

15

Zadanie 4.

16

Podpunkt a)

16

Podpunkt b)

16

Podpunkt c)

16

Zadanie 5.

16

Zadanie 6.

17

Zadanie 7.

17

Podpunkt a)

17

Podpunkt b)

17

Podpunkt c)

17

Zadanie 8.

17
2.2 Przekątna kwadratu
18

Zadanie 1.

18

Zadanie 2.

18

Zadanie 3.

18

Zadanie 4.

18

Zadanie 5.

19

Zadanie 6.

19

Zadanie 7.

19

Zadanie 8

20

Zadanie 9.

20

Zadanie 10.

20
2.3 Wysokość trójkąta równobocznego
21

Zadanie 1.

21

Zadanie 2.

21

Zadanie 3.

21

Zadanie 4.

21

Zadanie 5.

22

Zadanie 6.

22

Zadanie 7.

22

Zadanie 8.

23

Zadanie 9.

23

Zadanie 10.

23
2.4 Zastosowanie twierdzenia Pitagorasa
24

Zadanie 1.

24

Zadanie 2.

24

Zadanie 3.

24

Zadanie 4.

25

Podpunkt a)

25

Podpunkt b)

25

Zadanie 5.

25

Zadanie 6.

25

Zadanie 7.

26

Zadanie 8.

26
Pełny spis treści
Skul
Artboard 1
Skul.pl
  • Napisz do nas
  • FAQ
  • Mapa Serwisu
  • Google Play
  • App Store

Korzystanie z portalu oznacza akceptację Regulaminu.
Polityka prywatności. Ustawienia preferencji. Copyright: INTERIA.PL 1999-2023 Wszystkie prawa zastrzeżone.