Oblicz obwód i pole trójkąta prostokątnego, którego najkrótsza wysokość jest równa 12, a jeden z kątów ostrych ma miarę 30°.
Rozwiązanie
Wyjaśnienie
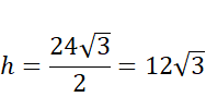
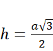
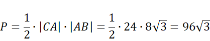
Zauważ, że najkrótsza wysokość w danym trójkącie prostokątnym dzieli ten trójkąt na dwa trójkąty prostokątne, które są połowami trójkątów równobocznych. . Korzystając z tego, że , gdzie to bok trójkąta równobocznego, a to jego wysokość oblicz wszystkie potrzebne wartości. Następnie oblicz obwód dodając do siebie odpowiednie wartości i oblicz pole, które jest równe połowie iloczynu przyprostokątnych tego trójkąta.