W tym zadaniu musisz podać prostokąty podobne do prostokąta
Należy ustalić długości odcinków prostokątów:
P = 6 x 12
P1 = 1 x 2
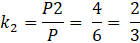
P2 = 4 x 8
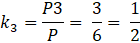
P3 = 3 x 6
P4 = 2 x 4
P5 = 1 x 4
P6 = 1 x 3
P7 = 1 x 5
Boki prostokąta P mają długość 6 i 12 więc prostokąty podobne do niego to wszystkie prostokąty, którego jeden bok jest dwa razy dłuższy od drugiego.
P1 = 1 x 2
P2 = 4 x 8
P3 = 3 x 6
P4 = 2 x 4
Aby ustalić skalę prawdopodobieństwa należy podzielić odpowiednie boki prostokątów.
Więc podobieństwo prostokąta P1 do prostokąta P wynosi
Więc podobieństwo prostokąta P2 do prostokąta P wynosi
Więc podobieństwo prostokąta P3 do prostokąta P wynosi
Więc podobieństwo prostokąta P4 do prostokąta P wynosi
W celu odnalezienia prostokątów podobnych należy sprawdzić czy odpowiednie boki są do siebie proporcjonalne. Aby obliczyć skalę prawdopodobieństwa należy wyznaczyć stosunek odpowiednich odcinków.
Zadanie 4
206Zadanie 8
206Zadanie 9
207Zadanie 10
207Zadanie 12
207Zadanie 28
208Zadanie 1
209Zadanie 4
209Zadanie 6
210Zadanie 7
210Zadanie 12
210Zadanie 16
211Zadanie 17
211Zadanie 18
211Zadanie 21
212Zadanie 25
212Zadanie 1
213Zadanie 2
213Zadanie 3
213Zadanie 4
213Zadanie 15
215Zadanie 17
215Zadanie 4
216Zadanie 5
216Zadanie 12
217Zadanie 23
218Zadanie 3
219Zadanie 7
220Zadanie 12
220Zadanie 18
221Zadanie 22
222Zadanie 23
222Zadanie 24
222Zadanie 27
222Zadanie 1
223Zadanie 2
223Zadanie 3
223Zadanie 5
223Zadanie 21
225Zadanie 23
225Zadanie 24
225Zadanie 2
226Zadanie 5
226Zadanie 8
226Zadanie 21
228Zadanie 23
228Zadanie 6
229Zadanie 7
229Zadanie 8
229Zadanie 13
230Zadanie 17
230Zadanie 20
231Zadanie 23
231Zadanie 26
232Zadanie 28
232