W tym zadaniu musisz obliczyć wysokość trapezu korzystając z podobieństwa.
Rysunek pomocniczy:
Trójkąty
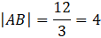
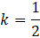
Skorzystajmy ze skali podobieństwa, aby wyznaczyć podstawy trójkątów (które są też podstawami trapezu):
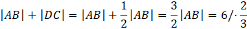
Suma podstaw jest równa 6, więc:
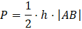
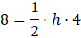
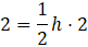
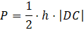
Wyznaczmy wysokość trójkąta
Wyznaczmy wysokość trójkąta
Wysokość trapezu to suma wysokości trójkątów, czyli 6.
Stwórz rysunek pomocniczy. Zauważ, że trójkąty które powstały po przecięciu się przekątnych są podobne. Wyznacz skalę podobieństwa, korzystając z tego, że stosunek pól figur podobnych daje skalę podobieństwa do kwadratu. Znając skalę podobieństwa wyznacz zależność między długościami podstaw trójkątów. W sumie mają one dać 6, bo są to również podstawy trapezu. Znając długości podstaw trójkątów i ich pola, możesz wyliczyć wysokości tych trójkątów. Suma tych wysokości da wysokość trapezu.
Zadanie 4
206Zadanie 8
206Zadanie 9
207Zadanie 10
207Zadanie 12
207Zadanie 28
208Zadanie 1
209Zadanie 4
209Zadanie 6
210Zadanie 7
210Zadanie 12
210Zadanie 16
211Zadanie 17
211Zadanie 18
211Zadanie 21
212Zadanie 25
212Zadanie 1
213Zadanie 2
213Zadanie 3
213Zadanie 4
213Zadanie 15
215Zadanie 17
215Zadanie 4
216Zadanie 5
216Zadanie 12
217Zadanie 23
218Zadanie 3
219Zadanie 7
220Zadanie 12
220Zadanie 18
221Zadanie 22
222Zadanie 23
222Zadanie 24
222Zadanie 27
222Zadanie 1
223Zadanie 2
223Zadanie 3
223Zadanie 5
223Zadanie 21
225Zadanie 23
225Zadanie 24
225Zadanie 2
226Zadanie 5
226Zadanie 8
226Zadanie 21
228Zadanie 23
228Zadanie 6
229Zadanie 7
229Zadanie 8
229Zadanie 13
230Zadanie 17
230Zadanie 20
231Zadanie 23
231Zadanie 26
232Zadanie 28
232