W tym zadaniu musisz wyznaczyć skalę podobieństwa rombów, wyznaczyć pole mniejszego rombu i jego wysokość.
Skala podobieństwa rombu mniejszego do większego:
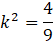
Skala podobieństwa ich pól:
Wyznaczenie mniejszego pola:
Wyznaczenie wysokości:
Wyznacz skalę podobieństwa rombów korzystając z długości ich boków. Skala podobieństwa dla pól, to skala podobieństwa długości boków podniesiona do kwadratu. Z tego, wyznacz pole mniejszego rombu. Następnie, skorzystaj ze wzoru na pole rombu
Zadanie 4
206Zadanie 8
206Zadanie 9
207Zadanie 10
207Zadanie 12
207Zadanie 28
208Zadanie 1
209Zadanie 4
209Zadanie 6
210Zadanie 7
210Zadanie 12
210Zadanie 16
211Zadanie 17
211Zadanie 18
211Zadanie 21
212Zadanie 25
212Zadanie 1
213Zadanie 2
213Zadanie 3
213Zadanie 4
213Zadanie 15
215Zadanie 17
215Zadanie 4
216Zadanie 5
216Zadanie 12
217Zadanie 23
218Zadanie 3
219Zadanie 7
220Zadanie 12
220Zadanie 18
221Zadanie 22
222Zadanie 23
222Zadanie 24
222Zadanie 27
222Zadanie 1
223Zadanie 2
223Zadanie 3
223Zadanie 5
223Zadanie 21
225Zadanie 23
225Zadanie 24
225Zadanie 2
226Zadanie 5
226Zadanie 8
226Zadanie 21
228Zadanie 23
228Zadanie 6
229Zadanie 7
229Zadanie 8
229Zadanie 13
230Zadanie 17
230Zadanie 20
231Zadanie 23
231Zadanie 26
232Zadanie 28
232