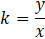
W tym zadaniu musisz wyznaczyć pole trójkąta
Trójkąty
Skala podobieństwa trójkąta
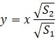
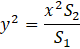
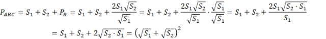
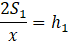
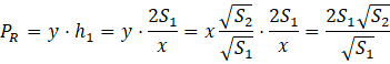
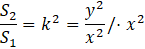
Zauważ, że wszystkie trzy trójkąty są podobne, bo mają takie same kąty. Wyznacz skalę podobieństwa między trójkątami powstałymi po podziale. Wysokość równoległoboku jest taka sama jak wysokość mniejszego z tych trójkątów, a bok równoległoboku, na którą ta wysokość pada jest taka sama jak jeden z boków drugiego trójkąta. Po kolei wyznacz: zależność boku równoległoboku od boku mniejszego trójkąta i pól trójkątów, zależność wysokości równoległoboku od pola
Zadanie 4
206Zadanie 8
206Zadanie 9
207Zadanie 10
207Zadanie 12
207Zadanie 28
208Zadanie 1
209Zadanie 4
209Zadanie 6
210Zadanie 7
210Zadanie 12
210Zadanie 16
211Zadanie 17
211Zadanie 18
211Zadanie 21
212Zadanie 25
212Zadanie 1
213Zadanie 2
213Zadanie 3
213Zadanie 4
213Zadanie 15
215Zadanie 17
215Zadanie 4
216Zadanie 5
216Zadanie 12
217Zadanie 23
218Zadanie 3
219Zadanie 7
220Zadanie 12
220Zadanie 18
221Zadanie 22
222Zadanie 23
222Zadanie 24
222Zadanie 27
222Zadanie 1
223Zadanie 2
223Zadanie 3
223Zadanie 5
223Zadanie 21
225Zadanie 23
225Zadanie 24
225Zadanie 2
226Zadanie 5
226Zadanie 8
226Zadanie 21
228Zadanie 23
228Zadanie 6
229Zadanie 7
229Zadanie 8
229Zadanie 13
230Zadanie 17
230Zadanie 20
231Zadanie 23
231Zadanie 26
232Zadanie 28
232