Oblicz kąt wypukły między przekątnymi sześcianu.
Płaszczyzna zawierająca obie przekątne zawiera prostokąt o bokach 𝑎 i
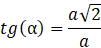
Oblicz miarę kąta między krótszą przyprostokątną a przeciwprostokątną:
Zauważ, że kąt ten jest kątem przy ramieniu trójkąta równoramiennego utworzonego przez przecinające się przekątne. Miara kąta między przekątnymi wynosi więc:
Odp. Miara kąta między przekątnymi sześcianu wynosi około 71°.
Zauważ prostokąt wyznaczony przez płaszczyznę zawierającą dwie przekątne sześcianu i wykorzystujemy funkcje trygonometryczne oraz własności trójkątów równoramiennych, by obliczyć miarę szukanego kąta. Skorzystaj z tablic wartości funkcji trygonometrycznych lub kalkulatora.
Ćwiczenie A.
252Ćwiczenie B.
253Ćwiczenie C.
253Zadanie 3.
255Zadanie 7.
256Zadanie 8.
256Zadanie 9.
256Zadanie 10.
257Zadanie 11.
257Zadanie 18.
260Zadanie 19.
260Zadanie 23.
261Zadanie 24.
261Zadanie 25.
261Przykład 1.
263Zadanie 1.
264Zadanie 2.
264Zadanie 5.
264Zadanie 6.
265Zadanie 8.
265Zadanie 9.
265Zadanie 10.
265Ćwiczenie A.
267Przykład 3.
273Zadanie 1.
274Zadanie 4.
274Zadanie 7.
274Zadanie 10.
275Zadanie 11.
275Zadanie 12.
275Zadanie 14.
275Zadanie 17.
276Zadanie 1.
281Zadanie 2.
281Zadanie 3.
281Zadanie 4.
282Zadanie 6.
282Zadanie 8.
282Zadanie 10.
283Zadanie 11.
283Zadanie 12.
283Zadanie 13.
283Zadanie 14.
283Zadanie 19.
284Zadanie S1.
284Ćwiczenie B.
286Zadanie 1.
288Zadanie 2.
288Zadanie 3.
288Zadanie 7.
289Zadanie 9.
289Zadanie 14.
290Zadanie 15.
290Zadanie 3.
292Zadanie 5.
292