Dany jest stożek o wysokości 8 i promieniu podstawy 4. Wpisano w niego walec o promieniu podstawy 1 w sposób przedstawiony na rysunku. Oblicz objętość walca.
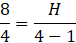
Zauważ, że trójkąt utworzony przez tworzącą powierzchni bocznej walca tworzy trójkąt podobny do trójkąta utworzonego przez tworzącą stożka, jego promień podstawy oraz wysokość. Wyznacz wysokość walca, wykorzystując proporcje odpowiednich długości:
Oblicz objętość walca:
Odp. Objętość tego walca wynosi
Wykorzystaj podobieństwo figur oraz wzór na objętość walca.
Ćwiczenie A.
252Ćwiczenie B.
253Ćwiczenie C.
253Zadanie 3.
255Zadanie 7.
256Zadanie 8.
256Zadanie 9.
256Zadanie 10.
257Zadanie 11.
257Zadanie 18.
260Zadanie 19.
260Zadanie 23.
261Zadanie 24.
261Zadanie 25.
261Przykład 1.
263Zadanie 1.
264Zadanie 2.
264Zadanie 5.
264Zadanie 6.
265Zadanie 8.
265Zadanie 9.
265Zadanie 10.
265Ćwiczenie A.
267Przykład 3.
273Zadanie 1.
274Zadanie 4.
274Zadanie 7.
274Zadanie 10.
275Zadanie 11.
275Zadanie 12.
275Zadanie 14.
275Zadanie 17.
276Zadanie 1.
281Zadanie 2.
281Zadanie 3.
281Zadanie 4.
282Zadanie 6.
282Zadanie 8.
282Zadanie 10.
283Zadanie 11.
283Zadanie 12.
283Zadanie 13.
283Zadanie 14.
283Zadanie 19.
284Zadanie S1.
284Ćwiczenie B.
286Zadanie 1.
288Zadanie 2.
288Zadanie 3.
288Zadanie 7.
289Zadanie 9.
289Zadanie 14.
290Zadanie 15.
290Zadanie 3.
292Zadanie 5.
292