Dany jest prostopadłościan o przekątnej, która z jego ścianami tworzy kąty o miarach α, β, γ. Udowodnij, że zachodzą równości:
oraz
T:
D:
Dany jest prostopadłościan o długościach krawędzi 𝑎, 𝑏, 𝑐. Przeprowadź przekątną 𝑑 w tym prostopadłościanie. Wyznacz trzy płaszczyzny zawierające pary odcinków: przekątną prostopadłościanu oraz przekątne kolejnych ścian (𝑎 ⨉ 𝑏, 𝑎 ⨉ 𝑐, 𝑏 ⨉ 𝑐). Zauważ, że w płaszczyznach zawarte są trójkąty prostokątne. Przekątne ścian według twierdzenia Pitagorasa mają długość równą:
Wyznacz długość przekątnej 𝑑 względem 𝑎, 𝑏, 𝑐:
Uzależnij wartości funkcji trygonometrycznych od długości krawędzi w prostopadłościanie:
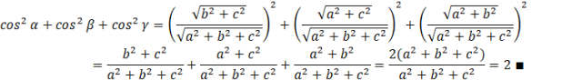
Oblicz:
Uzależnij wartość funkcji trygonometrycznych od długości krawędzi prostopadłościanu, a następnie podstaw do lewej strony równań z tezy.
Ćwiczenie A.
252Ćwiczenie B.
253Ćwiczenie C.
253Zadanie 3.
255Zadanie 7.
256Zadanie 8.
256Zadanie 9.
256Zadanie 10.
257Zadanie 11.
257Zadanie 18.
260Zadanie 19.
260Zadanie 23.
261Zadanie 24.
261Zadanie 25.
261Przykład 1.
263Zadanie 1.
264Zadanie 2.
264Zadanie 5.
264Zadanie 6.
265Zadanie 8.
265Zadanie 9.
265Zadanie 10.
265Ćwiczenie A.
267Przykład 3.
273Zadanie 1.
274Zadanie 4.
274Zadanie 7.
274Zadanie 10.
275Zadanie 11.
275Zadanie 12.
275Zadanie 14.
275Zadanie 17.
276Zadanie 1.
281Zadanie 2.
281Zadanie 3.
281Zadanie 4.
282Zadanie 6.
282Zadanie 8.
282Zadanie 10.
283Zadanie 11.
283Zadanie 12.
283Zadanie 13.
283Zadanie 14.
283Zadanie 19.
284Zadanie S1.
284Ćwiczenie B.
286Zadanie 1.
288Zadanie 2.
288Zadanie 3.
288Zadanie 7.
289Zadanie 9.
289Zadanie 14.
290Zadanie 15.
290Zadanie 3.
292Zadanie 5.
292