Spójrz na rysunek. Wiedząc, że podane na rysunkach bryły są prawidłowe, mają wysokość równą 10 oraz odcięte części brył są podobne do całości bryły, oblicz objętość zacieniowanej bryły.
Oblicz objętość całej bryły:
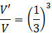
Oblicz skalę podobieństwa odciętego ostrosłupa do całości bryły:
Objętość wyciętego ostrosłupa wynosi:
Objętość zacieniowanej bryły jest równa różnicy dwóch obliczonych objętości:
Oblicz objętość całej bryły, a następnie wykorzystaj podobieństwo brył i oblicz objętość odciętego kawałka. Objętość zacieniowanej bryły to różnica dwóch obliczonych objętości.
Ćwiczenie A.
252Ćwiczenie B.
253Ćwiczenie C.
253Zadanie 3.
255Zadanie 7.
256Zadanie 8.
256Zadanie 9.
256Zadanie 10.
257Zadanie 11.
257Zadanie 18.
260Zadanie 19.
260Zadanie 23.
261Zadanie 24.
261Zadanie 25.
261Przykład 1.
263Zadanie 1.
264Zadanie 2.
264Zadanie 5.
264Zadanie 6.
265Zadanie 8.
265Zadanie 9.
265Zadanie 10.
265Ćwiczenie A.
267Przykład 3.
273Zadanie 1.
274Zadanie 4.
274Zadanie 7.
274Zadanie 10.
275Zadanie 11.
275Zadanie 12.
275Zadanie 14.
275Zadanie 17.
276Zadanie 1.
281Zadanie 2.
281Zadanie 3.
281Zadanie 4.
282Zadanie 6.
282Zadanie 8.
282Zadanie 10.
283Zadanie 11.
283Zadanie 12.
283Zadanie 13.
283Zadanie 14.
283Zadanie 19.
284Zadanie S1.
284Ćwiczenie B.
286Zadanie 1.
288Zadanie 2.
288Zadanie 3.
288Zadanie 7.
289Zadanie 9.
289Zadanie 14.
290Zadanie 15.
290Zadanie 3.
292Zadanie 5.
292