Spójrz na rysunek. Oblicz objętość zacieniowanej bryły.
Na rysunku podano wysokość stożka oraz średnicę jego podstawy. Oblicz objętość całej bryły:
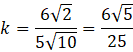
Oblicz tworzącą całej bryły za pomocą twierdzenia Pitagorasa:
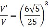
Skala podobieństwa brył: całej oraz zacieniowanej wynosi:
Oblicz objętość zacieniowanej bryły za pomocą skali podobieństwa:
Najpierw oblicz objętość większej bryły. Wykorzystaj długości odcinków podanych w zadaniu, żeby obliczyć skalę podobieństwa figur. Oblicz objętość zacieniowanej bryły za pomocą relacji objętości między bryłami podobnymi.
Ćwiczenie A.
252Ćwiczenie B.
253Ćwiczenie C.
253Zadanie 3.
255Zadanie 7.
256Zadanie 8.
256Zadanie 9.
256Zadanie 10.
257Zadanie 11.
257Zadanie 18.
260Zadanie 19.
260Zadanie 23.
261Zadanie 24.
261Zadanie 25.
261Przykład 1.
263Zadanie 1.
264Zadanie 2.
264Zadanie 5.
264Zadanie 6.
265Zadanie 8.
265Zadanie 9.
265Zadanie 10.
265Ćwiczenie A.
267Przykład 3.
273Zadanie 1.
274Zadanie 4.
274Zadanie 7.
274Zadanie 10.
275Zadanie 11.
275Zadanie 12.
275Zadanie 14.
275Zadanie 17.
276Zadanie 1.
281Zadanie 2.
281Zadanie 3.
281Zadanie 4.
282Zadanie 6.
282Zadanie 8.
282Zadanie 10.
283Zadanie 11.
283Zadanie 12.
283Zadanie 13.
283Zadanie 14.
283Zadanie 19.
284Zadanie S1.
284Ćwiczenie B.
286Zadanie 1.
288Zadanie 2.
288Zadanie 3.
288Zadanie 7.
289Zadanie 9.
289Zadanie 14.
290Zadanie 15.
290Zadanie 3.
292Zadanie 5.
292