Oblicz, jaką część stożka zajmuje ostrosłup prawidłowy wpisany w ten stożek przedstawiony na rysunku.
Oblicz objętość stożka o promieniu podstawy 𝑟 i wysokości 𝐻:
Promień podstawy stożka to połowa dłuższej przekątnej wpisanego ostrosłupa. Objętość wpisanej bryły jest równa:
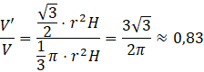
Oblicz za pomocą ilorazu, jaką część objętości stożka zajmuje ostrosłup:
Odp. Ostrosłup prawidłowy trójkątny wpisany w stożek zajmuje
Wykorzystaj wzory na objętość stożka, ostrosłupa oraz zależności między krawędziami charakterystycznymi w sześciokącie foremnym.
Ćwiczenie A.
252Ćwiczenie B.
253Ćwiczenie C.
253Zadanie 3.
255Zadanie 7.
256Zadanie 8.
256Zadanie 9.
256Zadanie 10.
257Zadanie 11.
257Zadanie 18.
260Zadanie 19.
260Zadanie 23.
261Zadanie 24.
261Zadanie 25.
261Przykład 1.
263Zadanie 1.
264Zadanie 2.
264Zadanie 5.
264Zadanie 6.
265Zadanie 8.
265Zadanie 9.
265Zadanie 10.
265Ćwiczenie A.
267Przykład 3.
273Zadanie 1.
274Zadanie 4.
274Zadanie 7.
274Zadanie 10.
275Zadanie 11.
275Zadanie 12.
275Zadanie 14.
275Zadanie 17.
276Zadanie 1.
281Zadanie 2.
281Zadanie 3.
281Zadanie 4.
282Zadanie 6.
282Zadanie 8.
282Zadanie 10.
283Zadanie 11.
283Zadanie 12.
283Zadanie 13.
283Zadanie 14.
283Zadanie 19.
284Zadanie S1.
284Ćwiczenie B.
286Zadanie 1.
288Zadanie 2.
288Zadanie 3.
288Zadanie 7.
289Zadanie 9.
289Zadanie 14.
290Zadanie 15.
290Zadanie 3.
292Zadanie 5.
292