Dane są sześcian i ośmiościan foremny. Wiedząc, że ich krawędzie są równej długości, oblicz stosunki pól powierzchni oraz objętości ośmiościanu do sześcianu.
Pole powierzchni i objętość sześcianu wyrażają się wzorami:
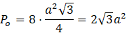
Pole powierzchni ośmiościanu to osiem pól trójkąta równobocznego:
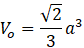
Objętość ośmiościanu to objętość dwóch ostrosłupów o podstawie kwadratu o boku 𝑎 i wysokości
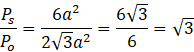
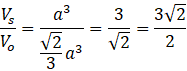
Oblicz stosunki:
Odp. Stosunek pól wynosi
Wykorzystaj wzór na pole powierzchni i objętość sześcianu, objętość ostrosłupa oraz wzór na pole powierzchni trójkąta równobocznego. Wysokość ostrosłupa, z którego składa się ośmiościan, można wyliczyć, wykorzystując twierdzenie Pitagorasa na trójkącie, którego przeciwprostokątną jest krawędź ośmiościanu, a przyprostokątnymi: połowa przekątnej podstawy ostrosłupa i jego wysokość.
Ćwiczenie A.
252Ćwiczenie B.
253Ćwiczenie C.
253Zadanie 3.
255Zadanie 7.
256Zadanie 8.
256Zadanie 9.
256Zadanie 10.
257Zadanie 11.
257Zadanie 18.
260Zadanie 19.
260Zadanie 23.
261Zadanie 24.
261Zadanie 25.
261Przykład 1.
263Zadanie 1.
264Zadanie 2.
264Zadanie 5.
264Zadanie 6.
265Zadanie 8.
265Zadanie 9.
265Zadanie 10.
265Ćwiczenie A.
267Przykład 3.
273Zadanie 1.
274Zadanie 4.
274Zadanie 7.
274Zadanie 10.
275Zadanie 11.
275Zadanie 12.
275Zadanie 14.
275Zadanie 17.
276Zadanie 1.
281Zadanie 2.
281Zadanie 3.
281Zadanie 4.
282Zadanie 6.
282Zadanie 8.
282Zadanie 10.
283Zadanie 11.
283Zadanie 12.
283Zadanie 13.
283Zadanie 14.
283Zadanie 19.
284Zadanie S1.
284Ćwiczenie B.
286Zadanie 1.
288Zadanie 2.
288Zadanie 3.
288Zadanie 7.
289Zadanie 9.
289Zadanie 14.
290Zadanie 15.
290Zadanie 3.
292Zadanie 5.
292