Dany jest sześcian o krawędzi 𝑑. Ścinamy ten sześcian, by otrzymać sześcian ścięty o długości krawędzi
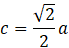
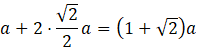
Oznacz długość krawędzi odciętego ostrosłupa niebędącego krawędzią sześcianu ściętego jako 𝑐. Zauważ, że przeciwprostokątna jego ściany bocznej ma długość 𝑎:
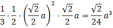
Odcięty ostrosłup to ostrosłup prosty o podstawie trójkąta równobocznego. Zauważ, że dwie krawędzie o długości
Długość krawędzi sześcianu względem krawędzi 𝑎 jest równa:
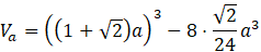
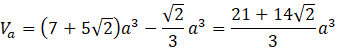
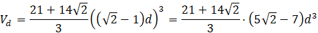
Oblicz objętość sześcianu ściętego:
Oblicz długość krawędzi kwadratu 𝑑 względem krawędzi sześcianu ściętego 𝑎:
Więc objętość sześcianu ściętego względem krawędzi 𝑑 jest równa:
Odp.
Wykorzystaj zależności w trójkątach prostokątnych, by uzależnić kluczowe odcinki w ściętych ostrosłupach od zmiennej 𝑎. Następnie oblicz objętość, korzystając ze wzoru na objętość sześcianu oraz ostrosłupa. Wylicz relację między krawędzią sześcianu 𝑑 i krawędzią sześcianu ściętego 𝑎, by podstawić ją do wzoru na objętość i oszczędzić liczby kalkulacji (nie licz wszystkiego drugi raz, tym razem dla zmiennej 𝑑).
Ćwiczenie A.
252Ćwiczenie B.
253Ćwiczenie C.
253Zadanie 3.
255Zadanie 7.
256Zadanie 8.
256Zadanie 9.
256Zadanie 10.
257Zadanie 11.
257Zadanie 18.
260Zadanie 19.
260Zadanie 23.
261Zadanie 24.
261Zadanie 25.
261Przykład 1.
263Zadanie 1.
264Zadanie 2.
264Zadanie 5.
264Zadanie 6.
265Zadanie 8.
265Zadanie 9.
265Zadanie 10.
265Ćwiczenie A.
267Przykład 3.
273Zadanie 1.
274Zadanie 4.
274Zadanie 7.
274Zadanie 10.
275Zadanie 11.
275Zadanie 12.
275Zadanie 14.
275Zadanie 17.
276Zadanie 1.
281Zadanie 2.
281Zadanie 3.
281Zadanie 4.
282Zadanie 6.
282Zadanie 8.
282Zadanie 10.
283Zadanie 11.
283Zadanie 12.
283Zadanie 13.
283Zadanie 14.
283Zadanie 19.
284Zadanie S1.
284Ćwiczenie B.
286Zadanie 1.
288Zadanie 2.
288Zadanie 3.
288Zadanie 7.
289Zadanie 9.
289Zadanie 14.
290Zadanie 15.
290Zadanie 3.
292Zadanie 5.
292