Wyznacz objętość bryły przedstawionej na rysunku wiedząc, że składa się ona z graniastosłupa prawidłowego sześciokątnego oraz pewnego graniastosłupa lub ostrosłupa.
Dolepiony ostrosłup ma podstawę z pięciokąta będącego częścią sześciokąta foremnego. Wysokość tego ostrosłupa to:
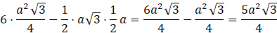
Objętość bryły wynosi więc:
Wykorzystaj wzór na objętość graniastosłupa oraz wzór na pole sześciokąta foremnego. Pole podstawy dolepionego ostrosłupa jest równe:
czyli różnicy pola sześciokąta foremnego oraz trójkąta, którego podstawą jest krótsza przekątna tego sześciokąta.
Ćwiczenie A.
252Ćwiczenie B.
253Ćwiczenie C.
253Zadanie 3.
255Zadanie 7.
256Zadanie 8.
256Zadanie 9.
256Zadanie 10.
257Zadanie 11.
257Zadanie 18.
260Zadanie 19.
260Zadanie 23.
261Zadanie 24.
261Zadanie 25.
261Przykład 1.
263Zadanie 1.
264Zadanie 2.
264Zadanie 5.
264Zadanie 6.
265Zadanie 8.
265Zadanie 9.
265Zadanie 10.
265Ćwiczenie A.
267Przykład 3.
273Zadanie 1.
274Zadanie 4.
274Zadanie 7.
274Zadanie 10.
275Zadanie 11.
275Zadanie 12.
275Zadanie 14.
275Zadanie 17.
276Zadanie 1.
281Zadanie 2.
281Zadanie 3.
281Zadanie 4.
282Zadanie 6.
282Zadanie 8.
282Zadanie 10.
283Zadanie 11.
283Zadanie 12.
283Zadanie 13.
283Zadanie 14.
283Zadanie 19.
284Zadanie S1.
284Ćwiczenie B.
286Zadanie 1.
288Zadanie 2.
288Zadanie 3.
288Zadanie 7.
289Zadanie 9.
289Zadanie 14.
290Zadanie 15.
290Zadanie 3.
292Zadanie 5.
292