Dany jest graniastosłup prawidłowy trójkątny o krawędzi podstawy równej 10 i krawędzi bocznej równej
A.
B.
C.
D. 2
Naszkicuj sytuację przedstawioną w treści zadania:
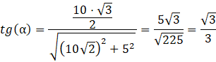
Przekątna ściany bocznej, wysokość trójkąta równobocznego oraz rzut prostokątny przekątnej na płaszczyznę sąsiedniej ściany bocznej tworzą trójkąt prostokątny. Oblicz tangens kąta
Odp. B.
Wykonaj rzut prostokątny przekątnej ściany bocznej na płaszczyznę sąsiedniej ściany bocznej. Wyznacz długości przyprostokątnych powstałego, niebieskiego trójkąta prostokątnego i oblicz iloraz odpowiednich długości.
Ćwiczenie A.
252Ćwiczenie B.
253Ćwiczenie C.
253Zadanie 3.
255Zadanie 7.
256Zadanie 8.
256Zadanie 9.
256Zadanie 10.
257Zadanie 11.
257Zadanie 18.
260Zadanie 19.
260Zadanie 23.
261Zadanie 24.
261Zadanie 25.
261Przykład 1.
263Zadanie 1.
264Zadanie 2.
264Zadanie 5.
264Zadanie 6.
265Zadanie 8.
265Zadanie 9.
265Zadanie 10.
265Ćwiczenie A.
267Przykład 3.
273Zadanie 1.
274Zadanie 4.
274Zadanie 7.
274Zadanie 10.
275Zadanie 11.
275Zadanie 12.
275Zadanie 14.
275Zadanie 17.
276Zadanie 1.
281Zadanie 2.
281Zadanie 3.
281Zadanie 4.
282Zadanie 6.
282Zadanie 8.
282Zadanie 10.
283Zadanie 11.
283Zadanie 12.
283Zadanie 13.
283Zadanie 14.
283Zadanie 19.
284Zadanie S1.
284Ćwiczenie B.
286Zadanie 1.
288Zadanie 2.
288Zadanie 3.
288Zadanie 7.
289Zadanie 9.
289Zadanie 14.
290Zadanie 15.
290Zadanie 3.
292Zadanie 5.
292