Dany jest pewien stożek usadowiony wierzchołkiem do dołu. Naczynie to wypełniono cieczą w taki sposób, że wysokość stożka cieczy jest równa trzem czwartym wysokości naczynia. Zakładając, że ściany naczynia nie mają wpływu na objętość oblicz, jaką część pojemności stożka zajęła ciecz oraz jaką część wysokości naczynia musiałby mieć stożek cieczy, by zajmował on połowę objętości naczynia.
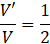
Stożek cieczy oraz naczynie w postaci stożka są bryłami do siebie podobnymi. Wykorzystaj podane stosunki wysokości, by obliczyć skalę podobieństwa:
Stosunek objętości cieczy do objętości naczynia wynosi więc:
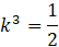
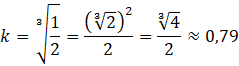
By podać odpowiedź na drugie pytanie, działaj w drugą stronę. Wykorzystaj relację między objętościami, żeby obliczyć skalę podobieństwa:
Odp. Ciecz o wysokości
Wykorzystaj relację między stosunkami objętości a sześcianem skali podobieństwa oraz vice versa, by obliczyć stosunki szukane w treści zadania.
Ćwiczenie A.
252Ćwiczenie B.
253Ćwiczenie C.
253Zadanie 3.
255Zadanie 7.
256Zadanie 8.
256Zadanie 9.
256Zadanie 10.
257Zadanie 11.
257Zadanie 18.
260Zadanie 19.
260Zadanie 23.
261Zadanie 24.
261Zadanie 25.
261Przykład 1.
263Zadanie 1.
264Zadanie 2.
264Zadanie 5.
264Zadanie 6.
265Zadanie 8.
265Zadanie 9.
265Zadanie 10.
265Ćwiczenie A.
267Przykład 3.
273Zadanie 1.
274Zadanie 4.
274Zadanie 7.
274Zadanie 10.
275Zadanie 11.
275Zadanie 12.
275Zadanie 14.
275Zadanie 17.
276Zadanie 1.
281Zadanie 2.
281Zadanie 3.
281Zadanie 4.
282Zadanie 6.
282Zadanie 8.
282Zadanie 10.
283Zadanie 11.
283Zadanie 12.
283Zadanie 13.
283Zadanie 14.
283Zadanie 19.
284Zadanie S1.
284Ćwiczenie B.
286Zadanie 1.
288Zadanie 2.
288Zadanie 3.
288Zadanie 7.
289Zadanie 9.
289Zadanie 14.
290Zadanie 15.
290Zadanie 3.
292Zadanie 5.
292