Dany jest ostrosłup prawidłowy czworokątny taki, że kąt między sąsiednimi ścianami bocznymi ma miarę 120°. Oblicz miarę kąta między krawędzią boczną a płaszczyzną podstawy tej bryły.
Naszkicuj sytuację przedstawioną w treści zadania:
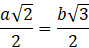
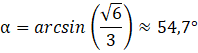
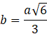
Zauważ, że płaszczyzna zawierająca kąt dwuścienny między sąsiednimi ścianami bocznymi zawiera wysokości ścian bocznych opuszczone na ramię tego boku. Rzuć wysokość w trójkącie zaznaczonym na niebiesko na podstawę będącą przekątną podstawy ostrosłupa. Tworzy ona trójkąt prostokątny o kątach wewnętrznych miary 30°, 60°, 90°. Wykorzystaj tę informację, by obliczyć długość ramienia niebieskiego trójkąta:
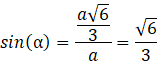
Zauważ, że niebieski odcinek dzieli ścianę boczną ostrosłupa na dwa podobne trójkąty prostokątne. Wykorzystaj definicję funkcji trygonometrycznych:
Odp. Kąt między krawędzią podstawy a krawędzią boczną tego ostrosłupa wynosi około 55°.
Wyznacz płaszczyznę prostopadłą do sąsiadujących ścian bocznych zawierającą kąt dwuścienny o mierze 120°. Przeprowadź ją tak, żeby zawierała wysokości ścian bocznych. Zaznacz trójkąt równoramienny utworzony przez te wysokości. Rzuć wysokość tego trójkąta na przekątną podstawy i uzależnij długość ramienia niebieskiego trójkąta od długości krawędzi podstawy. Wykorzystaj funkcje trygonometryczne oraz obliczoną długość przeciwległej przyprostokątnej, by wyznaczyć szukany kąt. Skorzystaj z tablic wartości funkcji trygonometrycznych lub kalkulatora.
Ćwiczenie A.
252Ćwiczenie B.
253Ćwiczenie C.
253Zadanie 3.
255Zadanie 7.
256Zadanie 8.
256Zadanie 9.
256Zadanie 10.
257Zadanie 11.
257Zadanie 18.
260Zadanie 19.
260Zadanie 23.
261Zadanie 24.
261Zadanie 25.
261Przykład 1.
263Zadanie 1.
264Zadanie 2.
264Zadanie 5.
264Zadanie 6.
265Zadanie 8.
265Zadanie 9.
265Zadanie 10.
265Ćwiczenie A.
267Przykład 3.
273Zadanie 1.
274Zadanie 4.
274Zadanie 7.
274Zadanie 10.
275Zadanie 11.
275Zadanie 12.
275Zadanie 14.
275Zadanie 17.
276Zadanie 1.
281Zadanie 2.
281Zadanie 3.
281Zadanie 4.
282Zadanie 6.
282Zadanie 8.
282Zadanie 10.
283Zadanie 11.
283Zadanie 12.
283Zadanie 13.
283Zadanie 14.
283Zadanie 19.
284Zadanie S1.
284Ćwiczenie B.
286Zadanie 1.
288Zadanie 2.
288Zadanie 3.
288Zadanie 7.
289Zadanie 9.
289Zadanie 14.
290Zadanie 15.
290Zadanie 3.
292Zadanie 5.
292