Ostrosłupy na rysunkach są prawidłowe. Oblicz pola zaznaczonych w nich przekrojów.
Odcinek zawarty w podstawie będącą trójkątem równobocznym o długości krawędzi 2𝑎 dzieli bok na dwie równe części, czyli jest wysokością i ma długość:
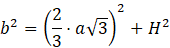
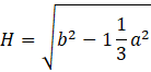
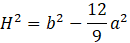
Wysokość ostrosłupa opuszczona na podstawę dzieli spodkiem wysokość podstawy na odcinki o długościach w stosunki 2 : 1. Zauważ trójkąt prostokątny o przeciwprostokątnej z krawędzi bocznej ostrosłupa o przyprostokątnych z wysokości bryły i dwóch trzecich wysokości podstawy. Zauważ również, że wysokość bryły pokrywa się z wysokością przekroju opuszczoną na bok zawarty w płaszczyźnie podstawy. Wykorzystaj twierdzenie Pitagorasa, by obliczyć wysokość:
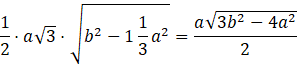
Pole przekroju wynosi:
Wykorzystaj fakt, że przedstawiony ostrosłup jest prawidłowy i oblicz długość podstawy trójkąta będącego przekrojem. Oblicz długość odcinków, na jakie dzieli spodek wysokości bryły wysokość podstawy, a następnie wykorzystaj tę długość, by za pomocą twierdzenia Pitagorasa obliczyć wysokość przekroju. Pole obliczysz, znając długość podstawy oraz wysokość.
Ćwiczenie A.
252Ćwiczenie B.
253Ćwiczenie C.
253Zadanie 3.
255Zadanie 7.
256Zadanie 8.
256Zadanie 9.
256Zadanie 10.
257Zadanie 11.
257Zadanie 18.
260Zadanie 19.
260Zadanie 23.
261Zadanie 24.
261Zadanie 25.
261Przykład 1.
263Zadanie 1.
264Zadanie 2.
264Zadanie 5.
264Zadanie 6.
265Zadanie 8.
265Zadanie 9.
265Zadanie 10.
265Ćwiczenie A.
267Przykład 3.
273Zadanie 1.
274Zadanie 4.
274Zadanie 7.
274Zadanie 10.
275Zadanie 11.
275Zadanie 12.
275Zadanie 14.
275Zadanie 17.
276Zadanie 1.
281Zadanie 2.
281Zadanie 3.
281Zadanie 4.
282Zadanie 6.
282Zadanie 8.
282Zadanie 10.
283Zadanie 11.
283Zadanie 12.
283Zadanie 13.
283Zadanie 14.
283Zadanie 19.
284Zadanie S1.
284Ćwiczenie B.
286Zadanie 1.
288Zadanie 2.
288Zadanie 3.
288Zadanie 7.
289Zadanie 9.
289Zadanie 14.
290Zadanie 15.
290Zadanie 3.
292Zadanie 5.
292