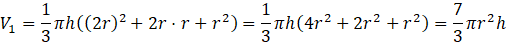
Spójrz na rysunek. Oblicz objętość narysowanej bryły.
Skorzystaj ze wzoru na objętość stożka ściętego oraz walca, by obliczyć objętość narysowanej bryły:
Objętość bryły z rysunku to suma poszczególnych segmentów:
Wykorzystaj wzór na objętość stożka ściętego:
wyprowadzony w zadaniu 8. oraz walca, żeby obliczyć objętości poszczególnych części bryły. Objętość to suma poszczególnych objętości.
Zamiast wzoru, możesz wyobrazić sobie, że do stożka ściętego przyklejono stożek w taki sposób, że doklejony stożek jest podobny do całego stożka. Wtedy obliczasz objętość tego stożka i objętość całego stożka. Objętość stożka ściętego jest równa różnicy tych dwóch objętości.
Ćwiczenie A.
252Ćwiczenie B.
253Ćwiczenie C.
253Zadanie 3.
255Zadanie 7.
256Zadanie 8.
256Zadanie 9.
256Zadanie 10.
257Zadanie 11.
257Zadanie 18.
260Zadanie 19.
260Zadanie 23.
261Zadanie 24.
261Zadanie 25.
261Przykład 1.
263Zadanie 1.
264Zadanie 2.
264Zadanie 5.
264Zadanie 6.
265Zadanie 8.
265Zadanie 9.
265Zadanie 10.
265Ćwiczenie A.
267Przykład 3.
273Zadanie 1.
274Zadanie 4.
274Zadanie 7.
274Zadanie 10.
275Zadanie 11.
275Zadanie 12.
275Zadanie 14.
275Zadanie 17.
276Zadanie 1.
281Zadanie 2.
281Zadanie 3.
281Zadanie 4.
282Zadanie 6.
282Zadanie 8.
282Zadanie 10.
283Zadanie 11.
283Zadanie 12.
283Zadanie 13.
283Zadanie 14.
283Zadanie 19.
284Zadanie S1.
284Ćwiczenie B.
286Zadanie 1.
288Zadanie 2.
288Zadanie 3.
288Zadanie 7.
289Zadanie 9.
289Zadanie 14.
290Zadanie 15.
290Zadanie 3.
292Zadanie 5.
292