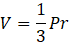
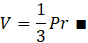
Udowodnij, że objętość wielościanu o polu powierzchni 𝑃 opisanego na kuli o promieniu 𝑟 jest równa
Z:
T:
D:
Niech dany będzie pewien 𝑛-ścian, opisany na kuli o promieniu 𝑟. Jego pole powierzchni całkowitej można zapisać jako suma pól pojedynczych
Połącz każdy wierzchołek 𝑛-ścianu ze środkiem kuli wpisanej. Zauważ, że w ten sposób każda ze ścian 𝑛-ścianu staje się podstawą ostrosłupa o polu podstawy
Rozbij 𝑛-ścian na 𝑛 ostrosłupów o wierzchołku w środku kuli wpisanej. Promień kuli jest wysokością tych ostrosłupów, ponieważ z definicji styczności, promień musi być prostopadły do płaszczyzny ściany i kula ma z tą płaszczyzną dokładnie jeden punkt wspólny, w spodku wysokości ostrosłupa.
Ćwiczenie A.
252Ćwiczenie B.
253Ćwiczenie C.
253Zadanie 3.
255Zadanie 7.
256Zadanie 8.
256Zadanie 9.
256Zadanie 10.
257Zadanie 11.
257Zadanie 18.
260Zadanie 19.
260Zadanie 23.
261Zadanie 24.
261Zadanie 25.
261Przykład 1.
263Zadanie 1.
264Zadanie 2.
264Zadanie 5.
264Zadanie 6.
265Zadanie 8.
265Zadanie 9.
265Zadanie 10.
265Ćwiczenie A.
267Przykład 3.
273Zadanie 1.
274Zadanie 4.
274Zadanie 7.
274Zadanie 10.
275Zadanie 11.
275Zadanie 12.
275Zadanie 14.
275Zadanie 17.
276Zadanie 1.
281Zadanie 2.
281Zadanie 3.
281Zadanie 4.
282Zadanie 6.
282Zadanie 8.
282Zadanie 10.
283Zadanie 11.
283Zadanie 12.
283Zadanie 13.
283Zadanie 14.
283Zadanie 19.
284Zadanie S1.
284Ćwiczenie B.
286Zadanie 1.
288Zadanie 2.
288Zadanie 3.
288Zadanie 7.
289Zadanie 9.
289Zadanie 14.
290Zadanie 15.
290Zadanie 3.
292Zadanie 5.
292