Spójrz na rysunek. Dwie przedstawione bryły powstały poprzez przecięcie prostopadłościanu płaszczyzną zawierającą przekątną podstawy i środki krawędzi przeciwległej podstawy. Oblicz objętość mniejszej z dwóch brył.
Zauważ, że bryła, której objętość chcemy obliczyć, jest ostrosłupem ściętym. Dopełnij więc ostrosłup ścięty do całego ostrosłupa. Tworzysz w ten sposób ostrosłup podobny do całości ostrosłupa.
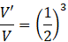
Jedna z krawędzi bocznych górnej podstawy ostrosłupa ściętego jest równa połowie krawędzi dolnej podstawy. Skala podobieństwa dopisanego ostrosłupa do całości wynosi:
Oznacz wysokość całego ostrosłupa jako 𝐻. Możesz obliczyć 𝐻 za pomocą następującego równania:
Oblicz objętość całego ostrosłupa zauważając, że jego podstawą jest trójkąt prostokątny o długościach przyprostokątnych 6 i 8:
Oblicz objętość mniejszego ostrosłupa za pomocą stosunku objętości brył podobnych:
Poszukiwana objętość ostrosłupa ściętego to różnica obliczonych objętości:
Dopełnij ostrosłup ścięty do pełnego ostrosłupa. Oblicz skalę podobieństwa dopisanej bryły do całego ostrosłupa i wykorzystaj ją, by obliczyć wysokość całego ostrosłupa.
Równanie zawierające 𝐻 możesz zapisać, ponieważ znasz dwa sposoby na obliczenie wysokości dopisanego ostrosłupa: zmniejszenie przez skalę podobieństwa albo różnica wysokości całego ostrosłupa oraz wysokości ostrosłupa ściętego.
Oblicz objętość całego ostrosłupa oraz ostrosłupa do niego podobnego. Różnica tych objętości to objętość ostrosłupa ściętego, poszukiwana w zadaniu.
Ćwiczenie A.
252Ćwiczenie B.
253Ćwiczenie C.
253Zadanie 3.
255Zadanie 7.
256Zadanie 8.
256Zadanie 9.
256Zadanie 10.
257Zadanie 11.
257Zadanie 18.
260Zadanie 19.
260Zadanie 23.
261Zadanie 24.
261Zadanie 25.
261Przykład 1.
263Zadanie 1.
264Zadanie 2.
264Zadanie 5.
264Zadanie 6.
265Zadanie 8.
265Zadanie 9.
265Zadanie 10.
265Ćwiczenie A.
267Przykład 3.
273Zadanie 1.
274Zadanie 4.
274Zadanie 7.
274Zadanie 10.
275Zadanie 11.
275Zadanie 12.
275Zadanie 14.
275Zadanie 17.
276Zadanie 1.
281Zadanie 2.
281Zadanie 3.
281Zadanie 4.
282Zadanie 6.
282Zadanie 8.
282Zadanie 10.
283Zadanie 11.
283Zadanie 12.
283Zadanie 13.
283Zadanie 14.
283Zadanie 19.
284Zadanie S1.
284Ćwiczenie B.
286Zadanie 1.
288Zadanie 2.
288Zadanie 3.
288Zadanie 7.
289Zadanie 9.
289Zadanie 14.
290Zadanie 15.
290Zadanie 3.
292Zadanie 5.
292