Dany jest wielościan, otrzymany przez wycięcie z sześcianu o długości krawędzi 𝑎 przy każdym z jego wierzchołków mniejszych sześcianów w taki sposób, że wszystkie krawędzie wynikowego wielościanu są sobie równe. Wyznacz objętość i pole powierzchni tak otrzymanej bryły.
Skoro wszystkie krawędzie wielościanu są równe, mamy:
gdzie 𝑥 to krawędź otrzymanego wielościanu.
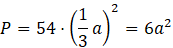
Powierzchnia wielościanu składa się z
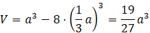
Objętość wielościanu jest równa objętości sześcianu minus 8 sześcianów o krawędzi
Odp.
Zwróć uwagę na konstrukcję figury danej w zadaniu, a następnie wykorzystaj wzory na pole kwadratu i objętość sześcianu. Pierwszą równość otrzymasz, wyobrażając sobie jedną z krawędzi sześcianu. Musisz usunąć z niej dwie długości krawędzi wycinanego sześcianu, w czego wyniku otrzymujemy krawędź tej samej długości.
Ćwiczenie A.
252Ćwiczenie B.
253Ćwiczenie C.
253Zadanie 3.
255Zadanie 7.
256Zadanie 8.
256Zadanie 9.
256Zadanie 10.
257Zadanie 11.
257Zadanie 18.
260Zadanie 19.
260Zadanie 23.
261Zadanie 24.
261Zadanie 25.
261Przykład 1.
263Zadanie 1.
264Zadanie 2.
264Zadanie 5.
264Zadanie 6.
265Zadanie 8.
265Zadanie 9.
265Zadanie 10.
265Ćwiczenie A.
267Przykład 3.
273Zadanie 1.
274Zadanie 4.
274Zadanie 7.
274Zadanie 10.
275Zadanie 11.
275Zadanie 12.
275Zadanie 14.
275Zadanie 17.
276Zadanie 1.
281Zadanie 2.
281Zadanie 3.
281Zadanie 4.
282Zadanie 6.
282Zadanie 8.
282Zadanie 10.
283Zadanie 11.
283Zadanie 12.
283Zadanie 13.
283Zadanie 14.
283Zadanie 19.
284Zadanie S1.
284Ćwiczenie B.
286Zadanie 1.
288Zadanie 2.
288Zadanie 3.
288Zadanie 7.
289Zadanie 9.
289Zadanie 14.
290Zadanie 15.
290Zadanie 3.
292Zadanie 5.
292