Dany jest czworościan foremny o długości krawędzi 𝑎. Przekrój tej bryły ma kształt prostokąta o stosunku długości boków 1 : 2. Oblicz pole tego przekroju.
Aby płaszczyzna tworzyła przekrój w kształcie czworokąta, musi ona przechodzić przez cztery krawędzie bryły (dwie krawędzi bocznej, dwie podstawy). Wymuś na parze odcinków utworzonych w przekroju: 𝐸𝐹 i 𝐺𝐻, że muszą mieć równe długości oraz że muszą być prostopadłe do wysokości ścian, do których należą. Te ograniczenia sprawiają, że przekrój 𝐸𝐹𝐺𝐻 jest prostokątem.
Zauważ, że trójkąty 𝐴𝐶𝐷 i 𝐷𝐻𝐺 oraz 𝐴𝐶𝐵 i 𝐵𝐸𝐹 są podobne z cechy kkk. Trójkąty 𝐷𝐻𝐺 i 𝐵𝐸𝐹 są przystające z cechy kbk.
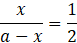
Oznacz długość 𝐷𝐻 jako 𝑥. Długość |𝐴𝐻| wynosi więc 𝑎 – 𝑥. Podobnie jest z bokiem 𝐴𝐸. Oznacza to, że trójkąt 𝐴𝐻𝐸 jest podobny do trójkąta 𝐴𝐷𝐵 z cechy bkb. Podobne rozumowanie przeprowadź na ścianie 𝐷𝐵𝐶.
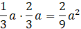
Długość 𝐺𝐻 wynosi 𝑥, a 𝐸𝐻 - 𝑎 – 𝑥. Oblicz długość 𝑥, dla których boki przekroju mają stosunek 1 : 2:
Długości boków prostokąta wynoszą
Znajdź rodzinę przekrojów prostokątnych w czworościanie. Wykorzystaj podobieństwo trójkątów w ścianach bryły, by uzależnić długości boków w przekroju od długości krawędzi bryły. Oblicz, dla jakich długości boków w tym przekroju spełniony jest stosunek długości 2 : 1. Oblicz pole przekroju.
Ćwiczenie A.
252Ćwiczenie B.
253Ćwiczenie C.
253Zadanie 3.
255Zadanie 7.
256Zadanie 8.
256Zadanie 9.
256Zadanie 10.
257Zadanie 11.
257Zadanie 18.
260Zadanie 19.
260Zadanie 23.
261Zadanie 24.
261Zadanie 25.
261Przykład 1.
263Zadanie 1.
264Zadanie 2.
264Zadanie 5.
264Zadanie 6.
265Zadanie 8.
265Zadanie 9.
265Zadanie 10.
265Ćwiczenie A.
267Przykład 3.
273Zadanie 1.
274Zadanie 4.
274Zadanie 7.
274Zadanie 10.
275Zadanie 11.
275Zadanie 12.
275Zadanie 14.
275Zadanie 17.
276Zadanie 1.
281Zadanie 2.
281Zadanie 3.
281Zadanie 4.
282Zadanie 6.
282Zadanie 8.
282Zadanie 10.
283Zadanie 11.
283Zadanie 12.
283Zadanie 13.
283Zadanie 14.
283Zadanie 19.
284Zadanie S1.
284Ćwiczenie B.
286Zadanie 1.
288Zadanie 2.
288Zadanie 3.
288Zadanie 7.
289Zadanie 9.
289Zadanie 14.
290Zadanie 15.
290Zadanie 3.
292Zadanie 5.
292