Spójrz na przedstawiony rysunek. Oblicz objętość oraz pole powierzchni narysowanej bryły.
Oznacz narysowaną bryłę jako 𝐴. Do 𝐴 wpisz walec 𝐵 tak, że 𝐴𝐵 razem tworzą stożek ścięty. Doszkicuj na stożku ściętym stożek 𝐶 tak, że razem 𝐴𝐵𝐶 tworzą stożek podobny do 𝐶.
Skala podobieństwa 𝐴𝐵𝐶 do 𝐶 wynosi:
Oznacz wysokość 𝐶 jako 𝘩. Wysokość tę można obliczyć za pomocą relacji między podobnymi odcinkami:
Objętość 𝐶 jest równa:
Objętość 𝐵 jest równa:
Objętość 𝐴𝐵𝐶 jest równa:
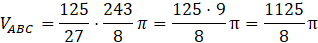
Objętość 𝐴 jest równa:
Pole bryły 𝐴 to pole boczne 𝐴𝐵𝐶 minus pole boczne 𝐶, pole podstawy 𝐴𝐵𝐶 minus pole podstawy 𝐵 i pole boczne 𝐵.
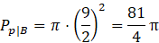
Wiodąca stożka 𝐶 jest równa:
Pole powierzchni bocznej stożka 𝐶 jest równe:
Pole powierzchni bocznej 𝐴𝐵𝐶 jest równe:
Pole podstawy 𝐴𝐵𝐶 jest równe:
Pole podstawy 𝐵 jest równe:
Pole powierzchni bocznej 𝐵 jest równe:
Oblicz pole powierzchni bryły przedstawionej na rysunku:
Dopełnij wydrążony stożek ścięty do pełnego stożka. Zauważ, że doszkicowany stożek jest podobny do całości bryły. Wykorzystaj podobieństwo między krawędziami w bryle, żeby obliczyć wysokość doszkicowanego stożka. Oblicz objętość stożków: małego i dużego, oraz objętość walca. Objętość bryły na rysunku to różnica objętości całego stożka i objętości mniejszego stożka i walca.
Pole bryły na rysunku to pole boczne całego stożka minus pole boczne doszkicowanego stożka, pole podstawy stożka minus pole podstawy walca i pole boczne walca. Oblicz wartości tych pól, pamiętając o wzorach na pole powierzchni bocznej stożka i walca, kolejno:
gdzie 𝑙 to wiodąca stożka, a 𝘩 to wysokość walca.
Ćwiczenie A.
252Ćwiczenie B.
253Ćwiczenie C.
253Zadanie 3.
255Zadanie 7.
256Zadanie 8.
256Zadanie 9.
256Zadanie 10.
257Zadanie 11.
257Zadanie 18.
260Zadanie 19.
260Zadanie 23.
261Zadanie 24.
261Zadanie 25.
261Przykład 1.
263Zadanie 1.
264Zadanie 2.
264Zadanie 5.
264Zadanie 6.
265Zadanie 8.
265Zadanie 9.
265Zadanie 10.
265Ćwiczenie A.
267Przykład 3.
273Zadanie 1.
274Zadanie 4.
274Zadanie 7.
274Zadanie 10.
275Zadanie 11.
275Zadanie 12.
275Zadanie 14.
275Zadanie 17.
276Zadanie 1.
281Zadanie 2.
281Zadanie 3.
281Zadanie 4.
282Zadanie 6.
282Zadanie 8.
282Zadanie 10.
283Zadanie 11.
283Zadanie 12.
283Zadanie 13.
283Zadanie 14.
283Zadanie 19.
284Zadanie S1.
284Ćwiczenie B.
286Zadanie 1.
288Zadanie 2.
288Zadanie 3.
288Zadanie 7.
289Zadanie 9.
289Zadanie 14.
290Zadanie 15.
290Zadanie 3.
292Zadanie 5.
292