Dany jest pewien stożek. Wpisano w niego walec w taki sposób, że promień podstawy walca jest trzy razy mniejszy od promienia podstawy stożka. Wskaż stosunek objętości walca do objętości stożka:
A.
B.
C.
D.
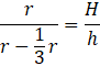
Zauważ w przekroju bocznym figur, że trójkąt prostokątny o przyprostokątnej z wysokości stożka jest podobny do trójkąta o przyprostokątnej z tworzącej walca. Mamy więc następującą relację:
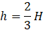
gdzie
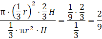
Oblicz stosunek objętości:
Odp. D.
Wykorzystaj wzory na objętość walca, stożka oraz podobieństwo trójkątów, by wyznaczyć stosunek objętości.
Ćwiczenie A.
252Ćwiczenie B.
253Ćwiczenie C.
253Zadanie 3.
255Zadanie 7.
256Zadanie 8.
256Zadanie 9.
256Zadanie 10.
257Zadanie 11.
257Zadanie 18.
260Zadanie 19.
260Zadanie 23.
261Zadanie 24.
261Zadanie 25.
261Przykład 1.
263Zadanie 1.
264Zadanie 2.
264Zadanie 5.
264Zadanie 6.
265Zadanie 8.
265Zadanie 9.
265Zadanie 10.
265Ćwiczenie A.
267Przykład 3.
273Zadanie 1.
274Zadanie 4.
274Zadanie 7.
274Zadanie 10.
275Zadanie 11.
275Zadanie 12.
275Zadanie 14.
275Zadanie 17.
276Zadanie 1.
281Zadanie 2.
281Zadanie 3.
281Zadanie 4.
282Zadanie 6.
282Zadanie 8.
282Zadanie 10.
283Zadanie 11.
283Zadanie 12.
283Zadanie 13.
283Zadanie 14.
283Zadanie 19.
284Zadanie S1.
284Ćwiczenie B.
286Zadanie 1.
288Zadanie 2.
288Zadanie 3.
288Zadanie 7.
289Zadanie 9.
289Zadanie 14.
290Zadanie 15.
290Zadanie 3.
292Zadanie 5.
292