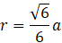
Dany jest ośmiościan foremny 𝑎. Oblicz promień kuli wpisanej w ten ośmiościan.
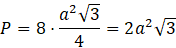
Oblicz pole powierzchni całkowitej oraz objętość ośmiościanu foremnego:
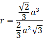
Wykorzystaj zależność udowodnioną w podpunkcie a):
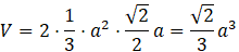
Objętość ośmiościanu foremnego oblicz zauważając, że są to dwa ostrosłupy prawidłowe zlepione do siebie podstawami. Wysokość jednego z tych ostrosłupów obliczysz, wykorzystując twierdzenie Pitagorasa na trójkącie prostokątnym utworzonym z krawędzi bocznej ostrosłupa, połowy przekątnej podstawy oraz wysokości ostrosłupa.
Ćwiczenie A.
252Ćwiczenie B.
253Ćwiczenie C.
253Zadanie 3.
255Zadanie 7.
256Zadanie 8.
256Zadanie 9.
256Zadanie 10.
257Zadanie 11.
257Zadanie 18.
260Zadanie 19.
260Zadanie 23.
261Zadanie 24.
261Zadanie 25.
261Przykład 1.
263Zadanie 1.
264Zadanie 2.
264Zadanie 5.
264Zadanie 6.
265Zadanie 8.
265Zadanie 9.
265Zadanie 10.
265Ćwiczenie A.
267Przykład 3.
273Zadanie 1.
274Zadanie 4.
274Zadanie 7.
274Zadanie 10.
275Zadanie 11.
275Zadanie 12.
275Zadanie 14.
275Zadanie 17.
276Zadanie 1.
281Zadanie 2.
281Zadanie 3.
281Zadanie 4.
282Zadanie 6.
282Zadanie 8.
282Zadanie 10.
283Zadanie 11.
283Zadanie 12.
283Zadanie 13.
283Zadanie 14.
283Zadanie 19.
284Zadanie S1.
284Ćwiczenie B.
286Zadanie 1.
288Zadanie 2.
288Zadanie 3.
288Zadanie 7.
289Zadanie 9.
289Zadanie 14.
290Zadanie 15.
290Zadanie 3.
292Zadanie 5.
292