Dany jest prostopadłościan o wymiarach 3 cm ⨉ 4 cm ⨉ 4 cm. Znajdź przekrój w kształcie rombu o największym polu i oblicz jego pole.
Żeby płaszczyzna przecinająca prostopadłościan utworzyła romb, musi ona przechodzić przez wierzchołek podstawy i być równoległa do przekątnej podstawy, która nie zawiera tego wierzchołka (nie licząc kwadratów o boku 3 powstałych przez przecięcie płaszczyzną prostopadle do płaszczyzny podstawy). Zauważ następujący przekrój prostopadłościanu:
Długość jednej z przekątnych tego rombu ma długość równą przekątnej podstawy, czyli
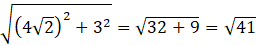
Pole przekroju wynosi:
Ze względu na to, że poszukujemy przekrojów w kształcie rombu o maksymalnym polu, interesują cię przekroje, w których zawarte są dwie przekątne przecinające się pod kątem prostym, podzielone na dwa równe odcinki przez punkt przecięcia. Oblicz długości tych przekątnych, które wykorzystasz do obliczenia pola.
Ćwiczenie A.
252Ćwiczenie B.
253Ćwiczenie C.
253Zadanie 3.
255Zadanie 7.
256Zadanie 8.
256Zadanie 9.
256Zadanie 10.
257Zadanie 11.
257Zadanie 18.
260Zadanie 19.
260Zadanie 23.
261Zadanie 24.
261Zadanie 25.
261Przykład 1.
263Zadanie 1.
264Zadanie 2.
264Zadanie 5.
264Zadanie 6.
265Zadanie 8.
265Zadanie 9.
265Zadanie 10.
265Ćwiczenie A.
267Przykład 3.
273Zadanie 1.
274Zadanie 4.
274Zadanie 7.
274Zadanie 10.
275Zadanie 11.
275Zadanie 12.
275Zadanie 14.
275Zadanie 17.
276Zadanie 1.
281Zadanie 2.
281Zadanie 3.
281Zadanie 4.
282Zadanie 6.
282Zadanie 8.
282Zadanie 10.
283Zadanie 11.
283Zadanie 12.
283Zadanie 13.
283Zadanie 14.
283Zadanie 19.
284Zadanie S1.
284Ćwiczenie B.
286Zadanie 1.
288Zadanie 2.
288Zadanie 3.
288Zadanie 7.
289Zadanie 9.
289Zadanie 14.
290Zadanie 15.
290Zadanie 3.
292Zadanie 5.
292