Wybierz zdanie prawdziwe. Wysokość czworościanu foremnego stanowi:
A. mniej niż 70% długości jego krawędzi
B. 75% długości jego krawędzi
C. więcej niż 75%, ale mniej niż 80% długości jego krawędzi
D. więcej niż 80% długości jego krawędzi
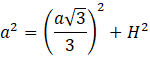
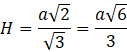
Użyj twierdzenia Pitagorasa na trójkącie prostokątnym utworzonym z krawędzi bryły, dwóch trzecich wysokości podstawy oraz wysokości opuszczonej na tą podstawę:
Wartość wyrażenia
Odp. D. więcej niż 80% długości jego krawędzi.
Wykorzystaj zależności między charakterystycznymi odcinkami w trójkącie równobocznym oraz twierdzenie Pitagorasa, by obliczyć wysokość bryły.
Ćwiczenie A.
252Ćwiczenie B.
253Ćwiczenie C.
253Zadanie 3.
255Zadanie 7.
256Zadanie 8.
256Zadanie 9.
256Zadanie 10.
257Zadanie 11.
257Zadanie 18.
260Zadanie 19.
260Zadanie 23.
261Zadanie 24.
261Zadanie 25.
261Przykład 1.
263Zadanie 1.
264Zadanie 2.
264Zadanie 5.
264Zadanie 6.
265Zadanie 8.
265Zadanie 9.
265Zadanie 10.
265Ćwiczenie A.
267Przykład 3.
273Zadanie 1.
274Zadanie 4.
274Zadanie 7.
274Zadanie 10.
275Zadanie 11.
275Zadanie 12.
275Zadanie 14.
275Zadanie 17.
276Zadanie 1.
281Zadanie 2.
281Zadanie 3.
281Zadanie 4.
282Zadanie 6.
282Zadanie 8.
282Zadanie 10.
283Zadanie 11.
283Zadanie 12.
283Zadanie 13.
283Zadanie 14.
283Zadanie 19.
284Zadanie S1.
284Ćwiczenie B.
286Zadanie 1.
288Zadanie 2.
288Zadanie 3.
288Zadanie 7.
289Zadanie 9.
289Zadanie 14.
290Zadanie 15.
290Zadanie 3.
292Zadanie 5.
292