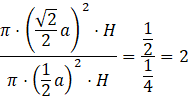
Oblicz iloraz objętości walców: opisanego na graniastosłupie prawidłowym czworokątnym i wpisanego w ten graniastosłup.
Niech podany w zadaniu graniastosłup ma krawędź podstawy długości 𝑎 i krawędź boczną 𝐻. Promieniem podstawy walca wpisanego w graniastosłup jest połowa długości krawędzi podstawy, natomiast promieniem podstawy walca opisanego jest połowa przekątnej podstawy graniastosłupa. Iloraz objętości wynosi więc:
Odp. Walec opisany ma objętość dwa razy większą od walca wpisanego.
Wykorzystaj wzór na objętość walca oraz zależności między krawędziami charakterystycznymi w kwadracie.
Ćwiczenie A.
252Ćwiczenie B.
253Ćwiczenie C.
253Zadanie 3.
255Zadanie 7.
256Zadanie 8.
256Zadanie 9.
256Zadanie 10.
257Zadanie 11.
257Zadanie 18.
260Zadanie 19.
260Zadanie 23.
261Zadanie 24.
261Zadanie 25.
261Przykład 1.
263Zadanie 1.
264Zadanie 2.
264Zadanie 5.
264Zadanie 6.
265Zadanie 8.
265Zadanie 9.
265Zadanie 10.
265Ćwiczenie A.
267Przykład 3.
273Zadanie 1.
274Zadanie 4.
274Zadanie 7.
274Zadanie 10.
275Zadanie 11.
275Zadanie 12.
275Zadanie 14.
275Zadanie 17.
276Zadanie 1.
281Zadanie 2.
281Zadanie 3.
281Zadanie 4.
282Zadanie 6.
282Zadanie 8.
282Zadanie 10.
283Zadanie 11.
283Zadanie 12.
283Zadanie 13.
283Zadanie 14.
283Zadanie 19.
284Zadanie S1.
284Ćwiczenie B.
286Zadanie 1.
288Zadanie 2.
288Zadanie 3.
288Zadanie 7.
289Zadanie 9.
289Zadanie 14.
290Zadanie 15.
290Zadanie 3.
292Zadanie 5.
292