W tym zadaniu musisz obliczyć obwód trapezu prostokątnego o krótszej podstawie wynoszącej 10, ramieniu niebędącego przy kącie prostym o długości 8 oraz kącie między krótszą podstawą a tym ramieniem wynoszącym 140°. Wynik zaokrąglij do części dziesiętnych.
Odpowiedź: C. 39,3.
Dobrze jest sobie narysować rysunek pomocniczy i zaznaczyć na nim wysokość poprowadzoną z wierzchołka zaznaczonego kąta, a także długość dłuższej podstawy.
Zauważ, że powstaje trójkąt ograniczony przez wysokość tego trapezu. Ponieważ wysokość jest prostopadła do boku, to kąt między wysokością a podstawami wynosi 90°. Więc trójkąt ten jest prostokątny. Kąt α z kolei możesz obliczyć odejmując 90° od 140° (gdyż kąt 140° składa się z kąta prostego i kąta α.
Korzystając z funkcji trygonometrycznych możesz obliczyć długości tego trójkąta, a w konsekwencji długości boków całego trapezu.
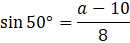
Sinus kąta w trójkącie prostokątnym, to stosunek długości przyprostokątnej leżącej naprzeciw kąta oraz przeciwprostokątnej. W tym wypadku naprzeciw kąta α znajduje się bok o długości a – 10, zaś przeciwprostokątna ma długość 8. Więc możesz napisać:
Odczytaj wartość sin 50° z tabelki funkcji trygonometrycznych lub oblicz tę wartość na kalkulatorze naukowym oraz podstaw do wzoru.
Cosinus kąta w trójkącie prostokątnym, to stosunek długości przyprostokątnej leżącej przy kącie oraz przeciwprostokątnej. W tym wypadku przy kącie α znajduje się wysokość, zaś przeciwprostokątna ma długość 8. Więc możesz napisać:
Odczytaj wartość cos 50° z tabelki funkcji trygonometrycznych lub oblicz tę wartość na kalkulatorze naukowym oraz podstaw do wzoru.
Obwód tego trapezu to suma jego wszystkich boków. Zauważ, że ramię znajdujące się przy kącie prostym ma taką samą długość jak wysokość.
Pamiętaj, że wynik ma być zaokrąglony do części dziesiętnych
Zadanie 16.
89Zadanie 17.
90Zadanie 18.
90Zadanie 25.
98Zadanie 27.
98Zadanie 16.
103Zadanie 17.
103Zadanie 19.
103Zadanie 14.
111Zadanie 13.
114Zadanie 14.
114Zadanie 21.
131Zadanie 23.
137Zadanie 28.
138Zadanie 20.
142Zadanie 23.
148